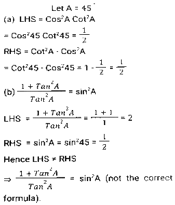
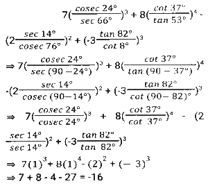
Trigonometry (Part-5)Total Questions: 5031. Solve it- [Higher Secondary 20/06/2024 (Shift-2)](a) -16(b) 40(c) 10(d) 2Correct Answer: (a) -16Solution:32. Simplify [Higher Secondary 21/06/2024 (Shift-2)](a) -1/8(b) 1/19(c) 1/8(d) -1/6Correct Answer: (a) -1/8Solution:33. Which of the following is NOT a correct formula? [Higher Secondary 24/06/2024 (Shift-2)](a)(b)(c)(d)Correct Answer: (b)Solution:34. Evaluate the following. [Higher Secondary 25/06/2024 (Shift-2)](a) 37/12(b) 57/5(c) 67/12(d) 27/5Correct Answer: (c) 67/12Solution:35. Evaluate [Higher Secondary 25/06/2024 (Shift-4)](a) 0(b) 1(c) 8(d) -1Correct Answer: (b) 1Solution:36. Simplify [Higher Secondary 26/06/2024 (Shift-2)](a)(b)(c)(d)Correct Answer: (a)Solution:37. Simplify [Higher Secondary 26/06/2024 (Shift-2)](a) 0(b) 1(c) 2(d) 3Correct Answer: (c) 2Solution:38. If sinA + cosA = 4/3, then find the value of tanA + cotA. [Graduate Level 20/06/2024 (Shift-3)](a) 7/18(b) 3/4(c) 18/7(d) 4/3Correct Answer: (c) 18/7Solution:39. The expression sin²θ + cos²θ - 1 = 0 is satisfied by how many values of θ ? [Graduate Level 21/06/2024 (Shift-3)](a) No value(b) Only one value(c) Infinitely many values(d) Two valuesCorrect Answer: (c) Infinitely many valuesSolution:sin²θ + cos²θ - 1 = 0 sin²θ + cos²θ = 1 Clearly we can see that there are infinitely many values which satisfy the given expression.40. Find the value of (sin75º + sin15º). [Graduate Level 21/06/2024 (Shift-3)](a) √6/2(b) √3/2(c) √6(d) √3Correct Answer: (a) √6/2Solution:Submit Quiz« Previous12345Next »