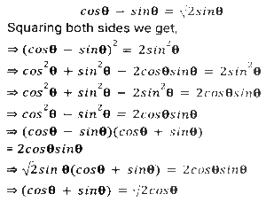
Trigonometry (Part-5)Total Questions: 5041. Find the value of- [Graduate Level 24/06/2024 (Shift-3)](a) -1(b) 0(c) 1(d) 1/2Correct Answer: (b) 0Solution:42. If sin (5x - 40º) = cos (5y + 40º), then the value of x + y is: [Graduate Level 24/06/2024 (Shift-3)](a) 18º(b) 15º(c) 40º(d) 20ºCorrect Answer: (a) 18ºSolution:43. The sides of a right angled triangle, right angled at B, are 6,8 and 10 units. C is the vertex opposite to the side with length 8 units. What is the value of tan²A + cos²C ? [Graduate Level 25/06/2024 (Shift-3)](a) 369/400(b) 125/400(c) 321/400(d) 325/400Correct Answer: (a) 369/400Solution:44. If sinθ + cosecθ = √5, then the value of sin³θ + cosec³θ is: [Graduate Level 26/06/2024 (Shift-3)](a) 1/√5(b) √5(c) 2√5(d) 0Correct Answer: (c) 2√5Solution:45. If cos2θ = 0, where θ is an acute angle, then find the value of sin (75º - θ). [Graduate Level 26/06/2024 (Shift-3)](a) √2 + 1(b) 1/2(c) √2 - 1(d) 1/√2Correct Answer: (b) 1/2Solution:46. Simplify [Graduate Level 26/06/2024 (Shift-4)](a) 5/11(b) 11/7(c) 11/7(d) 7/11Correct Answer: (c) 11/7Solution:47. Find the value of (tan²θ + tan⁴θ). [SSC CPO 03/10/2023 (1st Shift)](a) Sec²θ - Sec⁴θ(b) Cot²θ - Tan²θ(c) Sec⁴θ + Sec²θ(d) Sec⁴θ - Sec²θCorrect Answer: (d) Sec⁴θ - Sec²θSolution:48. If cosθ - sinθ = √2 sinθ, then (cosθ + sinθ) is: [SSC CPO 03/10/2023 (1st Shift)](a) -√2 sinθ(b) √2 tanθ(c) √2 cosθ(d) -√2 cosθCorrect Answer: (c) √2 cosθSolution:49. The value of (1 + sin⁴A - cos⁴A) cosec²A is: [SSC CPO 03/10/2023 (2nd Shift)](a) -1(b) 1(c) -2(d) 2Correct Answer: (d) 2Solution:50. Simplify [SSC CPO 03/10/2024 (2nd Shift)](a) 8/15(b) 7/15(c) √2/15(d) 2√2/15Correct Answer: (a) 8/15Solution:Submit Quiz« Previous12345