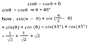
Trigonometry (Part-6)Total Questions: 5011. Simplify [SSC CPO 05/10/2023 (3rd Shift)](a) -√2(b) -1(c) 1(d) √2Correct Answer: (a) -√2Solution:12. Simplify [SSC CHSL 02/08/2023 (1st Shift)](a) 2sec²θ(b) 2cot²θ(c) 2cos²θ(d) 2sin²θCorrect Answer: (b) 2cot²θSolution:13. Simplify [SSC CHSL 02/08/2023 (2nd Shift)](a) 1(b) 0(c) √3(d) √2Correct Answer: (d) √2Solution:14. If cosθ + secθ = √3, then the value of cos³θ + sec³θ is : [SSC CHSL 02/08/2023 (3rd Shift)](a) 0(b) 1/√3(c) √3(d) 2√3Correct Answer: (a) 0Solution:15. Solve it- [SSC CHSL 02/08/2023 (4th Shift)](a) 4.19(b) 2.76(c) 3.19(d) 5.23Correct Answer: (a) 4.19Solution:16. Solve it- [SSC CHSL 03/08/2023 (1st Shift)](a) 60º(b) 15º(c) 45º(d) 30ºCorrect Answer: (a) 60ºSolution:17. If sinα + cosα = 2/√3 then what is (tanα + cotα) equal to? [SSC CHSL 03/08/2023 (1st Shift)](a) 1(b) 2(c) 6(d) 0Correct Answer: (c) 6Solution:18. The value of (cosec²B - 1) (sec²B - 1) is: [SSC CHSL 03/08/2023 (2nd Shift)](a) 4(b) 3(c) 2(d) 1Correct Answer: (d) 1Solution:19. Solve it- [SSC CHSL 03/08/2023 (2nd Shift)](a) 1/41(b) 43/29(c) 41/29(d) 1/43Correct Answer: (a) 1/41Solution:20. Simplify [SSC CHSL 03/08/2023 (3rd Shift)](a) Sec²A(b) Sec A(c) Tan A(d) Tan²ACorrect Answer: (c) Tan ASolution:Submit Quiz« Previous12345Next »