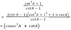
Trigonometry (Part-6)Total Questions: 5031. The given expression is equal to: [SSC CHSL 07/08/2023 (3rd Shift)](a) 2 cosecA cotA(b) 2 cosA cotA(c) 2 cosecA tanA(d) 2 cosA sinACorrect Answer: (a) 2 cosecA cotASolution:32. The given expression is equal to: [SSC CHSL 07/08/2023 (3rd Shift)](a) 1 - sinA(b) 1 + cosA(c) SinA(d) CosACorrect Answer: (a) 1 - sinASolution:33. The value of sin²30º + sin²40º + sin²45º + sin²55º + sin²35º + sin²45º + sin²50º + sin²60º is: [SSC CHSL 07/08/2023 (3rd Shift)](a) 2(b) 4(c) 3(d) 1Correct Answer: (b) 4Solution:34. Simplify the given expression. [SSC CHSL 07/08/2023 (4th Shift)](a) 2(b) -1(c) 3(d) 1Correct Answer: (a) 235. Solve it- [SSC CHSL 07/08/2023 (4th Shift)](a) 2(b) 1(c) -1(d) 0Correct Answer: (b) 1Solution:36. Simplify [SSC CHSL 07/08/2023 (4th Shift)](a) 2(b) 1(c) 0(d) 3Correct Answer: (a) 2Solution:37. Simplify [SSC CHSL 08/08/2023 (1st Shift)](a)(b)(c)(d)Correct Answer: (c)Solution:38. Find the value of- [SSC CHSL 08/08/2023 (1st Shift)](a) 1/2(b) 1(c) -1(d) 0Correct Answer: (d) 0Solution:39. Simplify the given expression. [SSC CHSL 08/08/2023 (2nd Shift)](a) cosec²A - cotA(b) cosec²A + cotA(c) cot²A + cosecA(d) cot²A - cosecACorrect Answer: (b) cosec²A + cotASolution:40. If Tanθ + Secθ = α, then what is Secθ equal to: [SSC CHSL 08/08/2023 (2nd Shift)](a)(b)(c)(d)Correct Answer: (d)Solution:Submit Quiz« Previous12345Next »