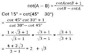
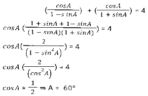
Trigonometry (Part-7)Total Questions: 5031. If sin A = -(3/5), A lies in III quadrant, the value of sec A is: [SSC CGL 18/07/2023 (2nd Shift)](a) -(4/5)(b) -(3/4)(c) -(3/4)(d) 3/4Correct Answer: (b) -(3/4)Solution:32. Find the value of the following expression. [SSC CGL 18/07/2023 (3rd Shift)]12 (sin⁴θ + cos⁴θ) + 18 (sin⁶θ + cos⁶θ) + 78 sin²θ cos²θ(a) 30(b) 40(c) 10(d) 20Correct Answer: (a) 30Solution:33. Simplify [SSC CGL 18/07/2023 (4th Shift)](a) √3 + 1(b) √3 - 1(c) 2 - √3(d) 2 + √3Correct Answer: (c) 2 - √3Solution:34. Simplify [SSC CGL 19/07/2023 (1st Shift)](a) 2.25(b) 1.45(c) 3.75(d) 5.25Correct Answer: (b) 1.45Solution:35. Find the value of (sinθ + cosθ)² + (sinθ - cosθ)² [SSC CGL 19/07/2023 (1st Shift)](a) 4(b) 0(c) 2(d) 1Correct Answer: (c) 2Solution:36. Simplify [SSC CGL 19/07/2023 (1st Shift)](a) 90º(b) 45º(c) 60º(d) 30ºCorrect Answer: (c) 60ºSolution:37. Simplify [SSC CGL 19/07/2023 (2nd Shift)](a) 2 + √3(b) 2 - √3(c) √3 -1(d) √3 + 1Correct Answer: (a) 2 + √3Solution:38. If P cos α = 3 and 4 tan α =Q, then what is the relation between P and Q which is independent of α ? [SSC CGL 19/07/2023 (2nd Shift)](a)(b)(c)(d)Correct Answer: (c)Solution:39. For any acute angle θ, sinθ + sin²θ = 1, then the value of cos² +cos⁴θ is = ______ . [SSC CGL 19/07/2023 (3rd Shift)](a) 0(b) 1(c) 2(d) -1Correct Answer: (b) 1Solution:40. If cosx + sinx = √2cosx, what is the value of (cosx - sinx)² + (cosx + sinx)² ? [SSC CGL 19/07/2023 (4th Shift)](a) 2(b) 1(c) 0(d) 1/√2Correct Answer: (a) 2Solution:Submit Quiz« Previous12345Next »