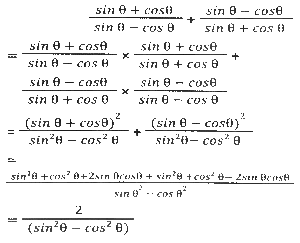
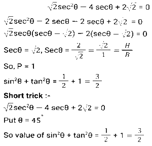
Trigonometry (Part-8)Total Questions: 5031. If 6cotθ = 5, then find the value of- [SSC CHSL 14/03/2023 (2nd Shift)](a) 5(b) 1(c) 6(d) 0Correct Answer: (c) 6Solution:32. If - sinθ + cosecθ = 6, then what is the value of sinθ + cosecθ?(a) 6(b) √40(c) √34(d) √38Correct Answer: (b) √40Solution:33. If √2sec²θ - 4 secθ + 2√2 = 0, then what is the value sin²θ + tan²θ ? [SSC CHSL 14/03/2023 (3rd Shift)](a) 1/2(b) 2/3(c) 5/2(d) 3/2Correct Answer: (d) 3/2Solution:34. What is the value of- [SSC CHSL 14/03/2023 (4th Shift)](a)(b)(c)(d)Correct Answer: (c)Solution:35. Simplify the following expression. [SSC CHSL 15/03/2023 (1st Shift)](a) 2 sinA(b) 2 cosA(c) 2 secA(d) 2 tanACorrect Answer: (c) 2 secASolution:36. If sec x + tan x = 5 and cosec y - cot y = 1/3 then find the value of (sec x + cosec y) - (tan x - cot y). [SSC CHSL 15/03/2023 (1st Shift)](a) 2.2(b) 3.2(c) 4.2(d) 3.1Correct Answer: (b) 3.2Solution:37. If A = a cosecθ + b cotθ and B = a cotθ + b cosecθ, then what is the value of A² - B² ? [SSC CHSL 15/03/2023 (4th Shift)](a) ab(b) (a + b)(c) (a² - b²)(d) (a - b)Correct Answer: (c) (a² - b²)Solution:38. If cosecθ + cotθ = s, then what is the value of cosθ ? [SSC CHSL 16/03/2023 (2nd Shift)](a)(b)(c)(d)Correct Answer: (a)Solution:39. Find the value of tan x, if sec x + tan x = √3 and x lies between 0º and 90º. [SSC CHSL 16/03/2023 (3rd Shift)](a) √3(b) 1(c) 1/√3(d) 0Correct Answer: (c) 1/√3Solution:40. Tan of complementary of an angles is same as which of the angles ? [SSC CHSL 17/03/2023 (1st Shift)](a) sin of that angle(b) cot of that angle(c) cos of that angle(d) cosec of that angleCorrect Answer: (b) cot of that angleSolution:Complementary angle of tan = cotSubmit Quiz« Previous12345Next »