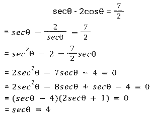
Trigonometry (Part-9)Total Questions: 5011. If sec2θ = cosec (θ - 36º), where 2θ is an acute angle, find the value of θ. [SSC CGL 05/12/2022 (1st Shift)](a) 32º(b) 46º(c) 20º(d) 42ºCorrect Answer: (d) 42ºSolution:12. What will be the value of cos x cosec x - sin x sec x ? [SSC CGL 05/12/2022 (2nd Shift)](a) cot 2x/2(b) tan 2x(c) cot 2x(d) 2cot 2xCorrect Answer: (d) 2cot 2xSolution:13. cot²A - cos²A is equal to: [SSC CGL 05/12/2022 (3rd Shift)](a) cos²A. sin²A(b) cos²A.cot²A(c) 1(d) 0Correct Answer: (b) cos²A.cot²ASolution:14. If bsinθ = a, then secθ + tanθ = ? [SSC CGL 06/12/2022 (1st Shift)](a)(b)(c)(d)Correct Answer: (a)Solution:15. What will be the value of sin10º - 4/3 sin³10º ? [SSC CGL 06/12/2022 (1st Shift)](a) 1/3√3(b) 1/6(c) 1/2√3(d) √3/6Correct Answer: (b) 1/6Solution:16. Simplify [SSC CGL 06/12/2022 (2nd Shift)](a) 1(b) √3/2(c) 1/2(d) 0Correct Answer: (c) 1/2Solution:17. Solve the following to find its value in terms of trigonometric ratios. [SSC CGL 06/12/2022 (3rd Shift)](sinA + cosA) (1 - sinA cosA)(a) sin³A + cos³A(b) sin²A - cos²A(c) [cosA - sinA] [sin²A + cos²A](d) sin³A - cos³ACorrect Answer: (a) sin³A + cos³ASolution:18. If secθ - 2cosθ = 7/2, where θ is a positive acute angle, then the value of secθ is: [SSC CGL 06/12/2022 (4th Shift)](a) 6(b) 8(c) 5(d) 4Correct Answer: (d) 4Solution:19. Find the value of tan3θ if sec 3θ = cosec(4θ - 15º). [SSC CGL 06/12/2022 (4th Shift)](a) 1/√3(b) √3(c) -1(d) 1Correct Answer: (d) 1Solution:20. If tanA - tanB - tanC = tanA tanB tanC, what is the value of A in terms of B and C ? [SSC CGL 07/12/2022 (1st Shift)](a)(b)(c)(d)Correct Answer: (a)Solution:Submit Quiz« Previous12345Next »