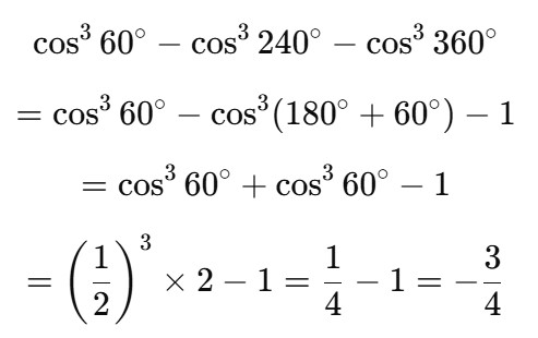
Trigonometry (Part-9)Total Questions: 5021. If tan² α = 3 +Q², then sec α + tan³ α cosec α = ? [SSC CGL 07/12/2022 (1st Shift)](a)(b)(c)(d)Correct Answer: (d)Solution:22. If 1 + sinθ = mcosθ, then what is the value sinθ? [SSC CGL 07/12/2022 (2nd Shift)](a)(b)(c)(d)Correct Answer: (b)Solution:23. Find the value of the following expression. [SSC CGL 07/12/2022 (3rd Shift)]5 (sin⁴θ + cos⁴θ) + 3 (sin⁶θ + cos⁶θ) + 19 sin²θ cos²θ(a) 8(b) 5(c) 6(d) 7Correct Answer: (a) 8Solution:24. If sin Y = x, then what will be the value of cos 2Y (where 0 ≤ Y ≤ 90º)? [SSC CGL 08/12/2022 (1st Shift)](a) (√2 - 1)x(b) √2x(c) 1 - 2x(d) 1 - 2x²Correct Answer: (d) 1 - 2x²Solution:25. If A + B = C, then tanA tanB tanC = ? [SSC CGL 08/12/2022 (1st Shift)](a) tanC + tanA - tanB(b) tanC + tanA + tanB(c) tanA - tanB - tanC(d) tanC - tanA - tanBCorrect Answer: (d) tanC - tanA - tanBSolution:26. Simplify [SSC CGL 08/12/2022 (1st Shift)](a) 4(b) 6(c) 8(d) 2Correct Answer: (d) 2Solution:27. θ = 135º; y = 15º. What is the value of 2cos(θ) sin(y)? [SSC CGL 08/12/2022 (3rd Shift)](a)(b)(c)(d)Correct Answer: (b)Solution:28. Simplify [SSC CGL 08/12/2022 (3rd Shift)](a) 9/4(b) 1/4(c) 2√5(d) √5Correct Answer: (c) 2√5Solution:29. Simplify [SSC CGL 08/12/2022 (4th Shift)](a) B(b) A(c) A+B(d) A-BCorrect Answer: (c) A+BSolution:30. cos³60º - cos³240º - cos³360º = ? [SSC CGL 09/12/2022 (1st Shift)](a) -3/4(b) -7/5(c) -3/5(d) -9/7Correct Answer: (a) -3/4Solution:Submit Quiz« Previous12345Next »