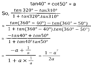
Trigonometry (Part-9)Total Questions: 5041. Simplify [SSC CGL 12/12/2022 (4th Shift)](a) √2 cosθ(b) 2 Cosθ(c) √2 Sinθ(d) 2 sinθCorrect Answer: (a) √2 cosθSolution:42. If sec²A + tan²A = 3, then what is the value of cotA ? [SSC CGL 13/12/2022 (1st Shift)](a) 1/√3(b) 0(c) 1(d) √3Correct Answer: (c) 1Solution: 43. What is the value of cosec 15º sec 15º ? [SSC CGL 13/12/2022 (2nd Shift)](a) 0.5(b) 4(c) 2(d) 1Correct Answer: (b) 444. Simplify [SSC CGL 13/12/2022 (2nd Shift)](a) tanA - cotA(b) tanA + cotA(c) sinA - cosA(d) sinA + cosACorrect Answer: (d) sinA + cosASolution:45. Simplify [SSC CGL 13/12/2022 (3rd Shift)](a)(b)(c)(d)Correct Answer: (c)Solution:46. If tan (α + β) = a, tan (α - β) = b then the value of tan 2α is: [SSC CPO 13/12/2022 (4th Shift)](a)(b)(c)(d)Correct Answer: (a)Solution:47. Simplify [SSC CPO 09/11/2022 (Morning)](a)(b)(c)(d)Correct Answer: (b)Solution:48. Simplify [SSC CPO 09/11/2022 (Morning)](a) 1(b) 0.5(c) -1(d) -0.5Correct Answer: (b) 0.5Solution:49. Simplify [SSC CPO 09/11/2022 (Morning)](a) 2(b) 0(c) √3/2(d) 1Correct Answer: (a) 2Solution:50. Simplify [SSC CPO 09/11/2022 (Afternoon)](a) cotθ(b) cot2θ(c) tanθ(d) tan2θCorrect Answer: (d) tan2θSolution:Submit Quiz« Previous12345