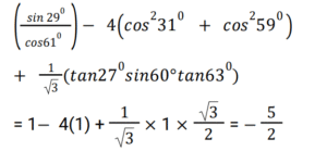
Trigonometry (Railway Maths) (Part – III)Total Questions: 5041. The value of tan5°tan25°tan45°tan65°tan85° is equal to: [RRB NTPC 20/01/2021 (Evening)](a) 1(b) 4(c) 2(d) 3Correct Answer: (a) 1Solution:= tan5° · tan25° · tan45° · tan65° · tan85° = (tan5° tan85°)(tan25° tan65°) tan45° = 1 × 1 × 1 = 142. What is the value of sin(48° + θ) − cos(42° − θ) ? [RRB NTPC 21/01/2021 (Morning)](a) −1(b) 1(c) 2(d) 0Correct Answer: (d) 0Solution:sin(48° + θ) − cos(42° − θ) = sin(48° + θ) − sin(48° + θ) = 043. What is the value of the following expression ? [RRB NTPC 21/01/2021 (Morning)](tan2° · tan88°)(tan3° · tan87°) … (tan43° · tan47°) tan45°(a) 0(b) ∞(c) 1(d) −1Correct Answer: (c) 1Solution:tanθ tan(90° − θ) = tanθ × cotθ = 1 (tan2° tan88°)(tan3° tan87°) … (tan43° tan47°) tan45° = 1 × tan45° = 144. Answer the following question? [RRB NTPC 21/01/2021 (Evening) ](a) 240°(b) 45°(c) 300°(d) 90°Correct Answer: (c) 300°Solution:45. The expression tanA / 1 - cot A + cot A / 1 - tan A can be written as: [RRB NTPC 21/01/2021 (Evening) ](a) secA + cosecA(b) tanA + cotA(c) 1 + secAcosecA(d) 1 + sinAcosACorrect Answer: (c) 1 + secAcosecASolution:46. If the ratio of the sine of an acute angle to its cosine is 5 : 12, then what will the value of sine of that angle be ? [RRB NTPC 22/01/2021 (Morning) ](a) 5/13(b) 12/13(c) 12/5(d) 5/12Correct Answer: (a) 5/13Solution:47. If x = acosecθ + bcotθ, y = bcosecθ + acotθ, then what will be the value of x² - y²? [RRB NTPC 22/01/2021 (Evening) ](a) a² - b²(b) a² + b²(c) a + b(d) 0Correct Answer: (a) a² - b²Solution:48. What is the value of 1 - tan²A / 1 + tan²A? [RRB NTPC 22/01/2021 (Evening) ](a) cos2A(b) cos²A(c) sin2A(d) 1Correct Answer: (a) cos2ASolution:49. Answer the following question? [RRB NTPC 22/01/2021 (Evening) ](a) 90°(b) 60°(c) 30°(d) 45°Correct Answer: (b) 60°Solution:50. The value of [RRB NTPC 22/01/2021 (Evening) ](a) -5/2(b) 10(c) 1/2(d) -5Correct Answer: (a) -5/2Solution:Submit Quiz« Previous12345