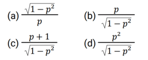
Trigonometry (Railway Maths) (Part – IV)Total Questions: 5041. If cos42° = p, then tan48° = ? [RRB NTPC 27/02/2021 (Morning) ](a)(b)(c)(d)Correct Answer: (b)Solution:42. If cosx - 3sinx = √3sinx, then the value of tanx is: [RRB NTPC 27/02/2021 (Evening) ](a) 3 - √3 / 6(b) 3 - √3(c) 3 + √3(d) √3Correct Answer: (a) 3 - √3 / 6Solution:43. The greatest value of sinx + cosx is: [RRB NTPC 27/02/2021 (Evening) ](a) 1/4(b) 1(c) √2(d) 1/√2Correct Answer: (c) √2Solution:44. The value of sin15°sin30°sin75° is : [RRB NTPC 27/02/2021 (Evening) ](a) 1 / 2√2(b) 1/8(c) 3/2(d) 1/4Correct Answer: (b) 1/8Solution:45. In a triangle ABC that is right angled at C, L A = L B. The value of sinAsinB + cosAcosB is : [RRB NTPC 01/03/2021 (Morning) ](a) 1/ √2(b) 1/2(c) 1(d) 0Correct Answer: (c) 1Solution:46. Find the value of cot 19° (cot71° cos²21° + 1/ tan71° sec²69°). [RRB NTPC 01/03/2021 (Morning) ](a) - 1(b) 1/2(c) 0(d) 1Correct Answer: (d) 1Solution:47. Find the value of : tan11° tan41° tan45° tan49° tan79°. [RRB NTPC 01/03/2021 (Evening) ](a) 2(b) - 1(c) 0(d) 1Correct Answer: (d) 1Solution:We know that tanA · tanB = 1if A + B = 90° tan11° · tan41° · tan45° · tan49° · tan79° = 148. If θ is an acute angle and sinθ = cosθ, then 2 cot²θ + sin²θ - 1 = ? [RRB NTPC 02/03/2021 (Morning) ](a) 3/2(b) 1(c) 0(d) -1Correct Answer: (a) 3/2Solution:49. Find the answer of given question? [RRB NTPC 02/03/2021 (Evening) ](a) nπ + π/3(b) 2nπ + π/6(c) nπ + π/4(d) nπ + π /6Correct Answer: (d) nπ + π /6Solution:50. If tan15° = 2 - √3, what is the value of tan15° cot 75° + tan 75° cot 15°. [RRB NTPC 03/03/2021 (Morning) ](a) 8(b) 14(c) 12(d) 10Correct Answer: (b) 14Solution:Submit Quiz« Previous12345