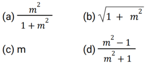
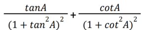
Trigonometry (Railway Maths) (Part – VI)Total Questions: 3111. Evaluate : [RRB JE 31/05/2019 (Morning) ](a) - 3(b) 2(c) 0(d) 1Correct Answer: (c) 0Solution:12. If sinx = m / √1 + m² then find 'tan x'. [RRB JE 31/05/2019 (Afternoon) ](a)(b)(c)(d)Correct Answer: (c)Solution:13. Find the value of [RRB JE 31/05/2019 (Evening) ](a) 2(b) 1/2(c) 0(d) 1Correct Answer: (c) 0Solution:14. Simplify: [RRB JE 31/05/2019 (Evening) ](a) 2 sinA cosA(b) sinA - cosA(c) sinA cosA(d) (sinA + cosA)²Correct Answer: (c) sinA cosASolution:15. Simplify: [RRB JE 01/06/2019 (Morning) ]sin(30° - A) + sin(30° + A)(a) 2 sin A(b) 2 cos A(c) sin A(d) cos ACorrect Answer: (d) cos ASolution:16. Find (1 - sin²θ)(tan²θ + 1) - 1. [RRB JE 01/06/2019 (Afternoon) ](a) 0(b) 2(c) cosec²θ(d) -2Correct Answer: (a) 0Solution:17. Find the answer of given question? [RRB JE 01/06/2019 (Evening) ](a) 5/6(b) 5/2(c) 5/12(d) 5/3Correct Answer: (a) 5/6Solution:18. Simplify: [RRB JE 01/06/2019 (Evening) ]1 / (secθ - tanθ)(a) sec θ + tan θ(b) cosec θ - cot θ(c) cos θ + sin θ(d) sec 2 θ - tan 2 θCorrect Answer: (a) sec θ + tan θSolution:19. Simplify: [RRB JE 02/06/2019 (Afternoon) ]1 / (cosecθ - cotθ)(a) cosecθ - cotθ(b) cosec²θ + cot²θ(c) cosecθ + cotθ(d) sinθ + cos θCorrect Answer: (c) cosecθ + cotθSolution:20. If A and B are complementary angles, then Find the value of cos A cos B - sin A sin B. [RRB JE 26/06/2019 (Evening) ](a) - 1(b) 0(c) 1/2(d) 1Correct Answer: (b) 0Solution:Submit Quiz« Previous1234Next »