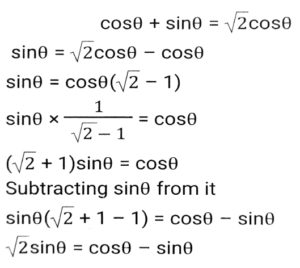
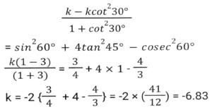
TrigonometryTotal Questions: 5031. The solution of the equation cos²θ + sinθ + 1 = 0 lies between : [Graduate Level 30/06/2023 (Shift-1)](a)(b)(c)(d)Correct Answer: (b)Solution:32. Find the value of [SSC CHSL Tier II (26/06/2023)](a) 1(b) -1(c) 0(d) 2Correct Answer: (a) 1Solution:33. If sin m + sin n = p, cos m + cos n = q, then find the value of sin m × sin n + cos m × cos n. [SSC CHSL 20/03/2023 (2nd Shift)](a)(b)(c)(d)Correct Answer: (b)Solution:34. If a cot θ + b cosec θ = p and b cot θ + cosec θ = q then p² -q² is equal to ______ . [SSC CGL Tier II (07/03/2023) ](a) b² - a²(b) a² - b²(c) b - a(d) a² + b²Correct Answer: (a) b² - a²Solution:35. If A is an acute angle, the simplified form of [SSC CGL 13/12/2022 (4th Shift)](a) Cos² A(b) Sin A(c) Sin² A(d) Cos ACorrect Answer: (d) Cos ASolution:36. What is the value of the expression cos 2A cos 2B + sin² (A-B) - sin² (A+B) ? [SSC CGL 12/12/2022 (1st Shift)](a) sin (2A - 2B)(b) sin (2A +2B)(c) cos (2A + 2B)(d) cos (2A - 2B)Correct Answer: (c) cos (2A + 2B)Solution:37. Find the value of k. [SSC CGL 03/12/202 (3rd Shift)](a) 5.55(b) -6.83(c) -5.58(d) 6.83Correct Answer: (b) -6.83Solution:38. If Cos θ + sin θ = √2 Cos θ, find the value of (cos θ - Sin θ). [SSC CPO 10/11/2022 (Afternoon)](a) √2 Sinθ(b) √2 Cosθ(c) 1/√2 Sinθ(d) 1/2 CosθCorrect Answer: (a) √2 SinθSolution:39. The value of sin 73⁰ + cos 137⁰ is: [SSC CHSL 10/06/2022 (Evening)](a) sin 13⁰(b) cos 13⁰(c) cos 18⁰(d) sin 18⁰Correct Answer: (a) sin 13⁰Solution:40. The value of sin 18⁰ is given as √5 - 1/4. Using the value, find the value of cos 18⁰. [SSC CHSL 30/05/2022 (Morning)](a)(b)(c)(d)Correct Answer: (a)Solution:As we know that,Submit Quiz« Previous12345Next »