U.G.C. NET Exam. 24 June, 2019 Paper–II (COMPUTER SCIENCE & APPLICATIONS)

Total Questions: 100

91. Consider the game tree given below :

Correct Answer: (b) 7
Solution:

Start from bottom to top :

92. Match List-I with List-II

Correct Answer: (d) (A)-(ii), (B)-(iii), (C)-(i)
Solution:

93. The STRIPS representation is

Correct Answer: (b) an action-centric representation
Solution:

The STRIPS representation isSTRIPS -
It stands for stanford research institute problem solver. It is an action centric representation in which for each action, it specifies the effect of the action.
In strips representation, there are states and goal and operators. operator is of three parts:
1- Operator name
2- Precondition : it must occur so that operator can execute.
3- Effect : it means how the state will change after an action.
In STRIPS, there is state base view of time.Actions are external to the logic. Given a state and an action, STRIPS representation is used to find:
a) Whether the action can be carried out in the state.
b) what is true in the resulting state.Predicates used in STRIPS are primitives and derived.It is used to determine the truth value of primitive predicates based on the previous state and action.

94. A fuzzy conjunction operator denoted as t(x, y) and a fuzzy disjunction operator denoted as s(x, y) form a dual pair if they satisfy the condition :

Correct Answer: (c) t(x, y) = 1 – s(1 – x, 1 – y)
Solution:

t(x, y) = 1 – s(1 – x, 1 – y)
FuzzySet :A fuzzy set is that which allows its members to have different value in the set interval [0, 1]
Operations that can be performed on fuzzy set are union, intersection, complement.
Union and intersection operation in fuzzy set are equal to conjunction (AND) and disjunction operation (or) respectively.
We can consider min for conjunction and max for disjunction. Also, there are various other choices also. Such as to calculate product for conjunction and algebraic sam for disjunction operation.
If fuzzy conjunction operator is denoted as f(x, y) and fuzzy disjunction operator is denoted as s(x,y). Then it forms as dual pair if : 1 – t (x, y) = S(1 – x, 1 – y) or 1 – s (x, y) = t (1 – x, 1 – y)
Here, it means choice of fuzzy disjunction operator determines the choice of fuzzy conjunction operator and vice-versa.

95. Answer the following question

Correct Answer: (a)
Solution:

Alpha cut in a fuzzy set :

96. Consider the following methods :

Correct Answer: (d)
Solution:

Defuzzification: It is the reverse of fuzzification in which a fuzzy set is transformed back to crisp set.
various defuzzification methods are
1) centre of sum method: In this method, it covers the area two times, which is the required area.
2) Centroid method: It provides crisp value by considering the centre of gravity on fuzzy set. It is also known as centre of gravity method. Total area is divided into sub areas in this. Centre of gravity is calculated for each sub area.
3) Centre of area method: It calculates the area under curve. It partitions a region into two regions of same area.
4) weight average method: In this membership functions are used. Each membership function is weighted by the maximum membership value.
5) Maxima methods : a) First of maxima: It finds the smallest value of domain with maximum membership value.
b)Last of maxima: It finds the largest value with maximum membership value.
c)Mean of maxima: In this, mean of the values is taken with maximum membership value.

97. Consider the following :

(A) Evolution
(B) Selection
(C) Reproduction
(D) Mutation
Which of the following are found in genetic algorithms?

Correct Answer: (c) (A), (B), (C) and (D)
Solution:

Genetic algorithm are adaptive methods which may be used to solve search and optimization problems. They are based on the genetic process of biological organisms.
Explanation: Genetic algorithm use a direct analogy of natural behavior. They work with a population of individuals, each representing a possible solution to a given problem. Each individual is assigned a fitness score according to how good a solution to the problem it is. The highly fit individual are given opportunities to reproduce, by cross breeding. This produces offspring. Before a GA can b run, a suitable coding and fitnes function is required.
Phases that are considered in genetic algorithm are:
1) Initialize population
2) Selection
3) Crossover
4) Mutation
5) reproduction

98. Which of the following is an example of unsupervised neural network?

Correct Answer: (d) Self-organizing feature
Solution:

A Self-Organizing Feature Map:It is a type of artificial neural network (ANN) that is trained using unsupervised learning to produce a low-dimensional (typically two-dimensional), discretized representation of the input space of the training samples, called a map, and is therefore a method to do dimensionality reduction.
Self-organizing maps differ from other artificial neural network as opposed to error correction learning (such as back propagation with gradient descent), and in the sense that they use a neighborhood function to preserve the topological properties of the input space.

99. Answer the following question

Correct Answer: (b)
Solution:

100. Reinforcement learing can be formalized in terms of ____ in which the agent initially only knows the set of possible _____ and the set of possible actions.

Correct Answer: (c) Markov decision processes, states
Solution:

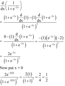
Reinforcement learning can be formalized in terms of Markov decision processes, in which the agent initially only knows the set of possible states and the set of possible actions.