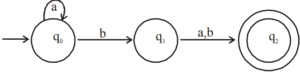
Solution:Regular expression :
a * b (a + b)
Language that is accepted by this expression is of type : {ba, bb, bab, aba, abb, abab, aabab,.......} Smallest string length is 2, that is, we need at least 3 states for this.
NFA for this regular expression is :

So number of states required in this NFA are 3.