U.G.C. NET Exam. 24 June, 2019 Paper–II (COMPUTER SCIENCE & APPLICATIONS)

Total Questions: 100

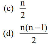
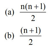
81. A fully connected network topology is a topology in which there is a direct link between all pairs of nodes. Given a fully connected network with n nodes, the number of direct links as a function of n can be expressed as


Correct Answer: (d)
Solution:

82. What is the name of the protocol that allows a client to send a broadcast message with its MAC address and receive an IP address in reply?

Correct Answer: (c) RARP
Solution:

What is the name of the protocol that allows a client to send a broadcast message with its MAC address and receive an IP address in reply? Reverse Address Resolution Protocol - It is used to get IP address with the help of physical address (MAC Address)
ARP (Address resolution protocol) is a protocol used by the Internet protocol (IP), specifically IPV4, to map IP network addresses to the hardware addresses used by a data link protocol, that is MAC address.
DNS (Domain Name System) DNS is a host name to IP address translation service. DNS is a distributed database implemented in a hierarchy of name servers. It is an application layer protocol for message exchange between clients and servers.
RARP :- The Reverse Address Resolution Protocol (RARP) is a computer networking protocol used by a  client computer to request its Internet protocol (IP) address from a computer network, when all it he available is its link layer or hardware address, such as a MAC address. RARP protocol broadcast message with its MAC address and receive an IP address in reply. The Internet Control Message Protocol (ICMP)- The internet control Message protocol (ICMP) is a supporting protocol in the Internet protocol suite. It is used by network devices, including routers, to send error messages and operational information indicating success or failure when communicating with another Host IP address.

83. You are designing a link layer protocol for a link with bandwidth of 1 Gbps (109 bits/second) over a fiber link with length of 800km. Assume the speed of light in this medium is 200000 km/second. What is the propagation delay in this link?

Correct Answer: (d) 4 milliseconds
Solution:

Data

84. You need 500 subnets, each with about 100 usable host addresses per subnet. What network mask will you assign using a class B network address?

Correct Answer: (b) 255.255.255.128
Solution:

85. Consider the following two statements with respect to IPv4 in computer networking :

P : The loopback (IP) address is a member of class B network.
Q : The loopback (IP) address is used to send a packet from host to itself.
What can you say about the statements P and Q?

Correct Answer: (b) P-False; Q-True
Solution:

IPV4 address : 32 bits IP address =
Network ID + Host ID
Network ID + Host ID = 32

86. In the TCP/IP model, encryption and decryption are functions of _____ layer.

Correct Answer: (d) application
Solution:

TCP/IP model

87. Which of the following statements is/are true with regard to various layers in the Internet stack?

P : At the link layer, a packet of transmitted information is called a frame.
Q : At the network layer, a packet of transmitted information is called a segment.

Correct Answer: (a) P only
Solution:

OSI model is a Layered framework for the design of network systems that allows communication between all types of computer systems. It consists of seven layer but related layer each of which defines a part of the process of moving information across a network.
The seven layer from bottom to top are as follows : physical layer, data link layer, network layer, transport layer, session layer, presentation layer, application layer.
But here we have to focus only on data link layer and network layer.
Data link layer : This layer is responsible for moving frames from one hop to next. Data link layer divides the stream of bits received from the network layer into manageable units called frames. It adds a header to the frame to define the sender and receiver of the frame. It provides a flow and error control mechanism.

88. What percentage (%) of the IPv4, IP address space do all class C addresses consume?

Correct Answer: (a) 12.5%
Solution:

89. The ability to inject packets into the Internet with a false source address is known as

Correct Answer: (d) IP spoofing
Solution:

IP spoofing :-
IP address spoofing or IP spoofing is the creation of Internet protocol packets with a false source IP address, for the purpose of impersonating another computing system. Main-in-the-Middle Attack : It is an attack where the attacker secretly relays and possibly alters the communications between two parties who believe they are directly communicating with each other three security issue that are particalarly applicable to the IP protocol : packet sniffing, packet modification, and IP spoofing.
Packet sniffing : In packet sniffing, an intruder tries to intercept the IP packet and make a copy of it It is a passive attack, in which the attacker does not change the contents of the packet.
IP spoofing : In IP spoofing, an attacker can masquerade (Pretense) somebody else and creates an IP packet that carries the source address of another computer. An attacker can send an IP packet to a bank pretending that is coming from one of the customers.

90. The RSA encrypting algorithm also works in reverse, that is, you can encrypt a message with the private key and decrypt it using the public key. This property is used in

Correct Answer: (b) digital signatures
Solution:

RSA encryption algorithm when works in reverse, it uses digital signature technique. Step by step method of this is as follows:
1- Sender (A) uses the SHA-1 message digest method to calculate the message digest over the original message (m).