U.G.C. NET Exam. 4 December, 2019 Paper II (COMPUTER SCIENCE & APPLICATIONS)

Total Questions: 100

61. Consider the following models;

Correct Answer: (b)
Solution:

Mamdoni Model: In a Mamdani system, output of each rule is fuzzy set. These are well suited to expert system applications where the rules are created from human expert knowledge. It is a method to create a control system by synthesizing a set of linguistic control rules obtained from experienced human operators.
Takagi-Sugeno-kang Model: This model allows to construct the system of analysis from a set of example data. These are used for the approximation of a large class of non linear systems. The degree of relevance of a linear model is determined by the degree the input data belong to fuzz subspace associated with the linear model. This is an example of additive rule model.
Kosko's additive model (SAM): It assumes the inputs are crisp and use the scaling method. It uses addition to combine the conclusion of fuzzy rules and includes the centroid defuzzification technique.

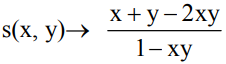
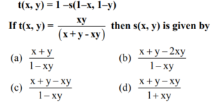
62. A fuzzy conjunction operators , t(x, z)and a fuzzy disjunction operator , s(x, y), from a pair if they satisfy:

Correct Answer: (b)
Solution:

63. Answer the following question

Correct Answer: (b)
Solution:

64. The order of Schema ?10?101? and ???0??1 are –––––and ––––respectively .

Correct Answer: (b) 5,2
Solution:

A schema is a set of binary strings that match the template which is made up of I's, 0's and * s where * matches with either 0 or 1. The order of schema is the number of its fixed bits i.e number of bits that are either 0 or 1.
Explanation:
Given schema is: ?10? 101? and ??? 0??1
CASE 1:
FOR ? 10? 101?, number of bits that are either 0 or 1 are 5.
So order of this schema is 5.
CASE 2: FOR ???0??1, number of bits that are fixed are 2.
So order of schema is 2.

65. Answer the following question

Correct Answer: (d) 49.2
Solution:

In this question given that The population of chromosome in genetic algorithm is represent in term of binary number. The strength of fitness of chromosome in decimal form of x
The population is given by p = {01101, (11000),(01000), (10011)}

66. Consider the following statements:

Correct Answer: (c)
Solution:

67. Consider the following statements with respect to duality in LPP:

(A) The final simplex table giving optimal solution of the primal also contains optimal solution of its dual in itself.
(B) If either the primal or the dual problem has a finite optimal solution, then the other problem also has a finite optimal solution.
(C) If either problem has an unbounded optimum solution, then the other problem has no feasible solution at all.
Which of the statements is (are) correct?

Correct Answer: (d) (A), (B) and (C)
Solution:

Duality in Linear programming problem (LPP):- It means a linear programming problem has another LPP which is derived from it original LPP which is derived from it. Original LPP is known as primal and derived LPP is known as DUAL.
Some points about dual LPP.
(1) In final simplex table giving optimal solution of the primal also contains optimal solution of its dual in itself.
(2) If either the primal or the dual problem has a finite optimal solution, then the other problem also has a finite optimal solution.
(3) If either problem has an unbounded optimum solution, then the other problem has no feasible solution at all. Example-
We have a set of equations as:

68. The Reduced Instruction Set Computer (RISC) characteristics are:

(A) Single cycle instruction execution
(B) Variable length instruction formats
(C) Instruments that manipulates operands in memory
(D) Efficient instruction pipeline
Choose the correct characteristics from the options given below:

Correct Answer: (c) (A) and (D)
Solution:

Statement a : (Correct) RISC has pipelined implementations with the goal of executing one instruction per machine cycle.
Statement b : (Incorrect) RISC has fixed length instruction formats.
Statement c : (Incorrect) C-RISC can perform only register to register arithmetic operations. Statement d : (Correct) D-RISC has efficient instruction pipeline therefore, statement a and b are correct.

69. Which of the following binary codes for decimal digits are self complementing?

(A) 8421 code
(B) 2421 code
(C) excess-3 code
(D) excess-3 gray code
Choose the correct option: 

Correct Answer: (b) (B) and (C)
Solution:

A binary coded decimal code in which of the combination for the complement of a digit is the complement of the combination for that digit. Self-complementing codes are : excess-3 code 2421 cod.
(1) 2421 code- It is positive weighted code values in binary terms for each digit from 0 to 9 are given as:
(2) Excess-3 code: It is a non-weighted code and self complementary code. It is derived from 8421 code by adding 3 to each digit.

70. Consider the following statements with respect to approaches to fill area on raster systems:

(A) To determine the overlap intervals for scan lines that cross the area.
(B) To start from a given interior position and paint outward from this point until we encounter the specified boundary conditions.
Select the correct answer from the options given below:

Correct Answer: (c) Both (A) and (B)
Solution:

In raster scan system, electron beam move across the screen one row at a time from top to bottom. In this electron beam intensity is turned on and off to produce illumination on the screen.
There are two approaches used in area filling on raster systems: one is scan line algorithm and another is seed fill algorithm.
(1) Scan line algorithm: Determine the overlap intervals for scan lines that cross the area or scan line. A scan line is a line of pixels that are plotted on display device when electron beam scans the display area horizontally.
(2) Seed fill algorithm: It starts from interior position and point outward from this point until the boundary condition reached. In this a point is selected and then four or eight connected approaches is used to fill it.