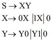
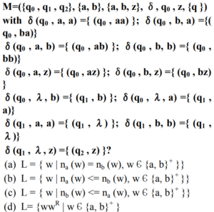
U.G.C. NET Exam. Dec. 2020-June 2021 Paper II (COMPUTER SCIENCE & APPLICATIONS)Total Questions: 10031. Which of the following languages are not regular?(a) A and B only(b) A and C only(c) B and C only(d) A, B and CCorrect Answer: (d) A, B and CSolution:A, B and C , no one are regular32. Any string of terminals that can be generated by the following context free grammar (where S is start non terminal symbol)(a) has at least one 1(b) should end with 0(c) has no consecutive 0's or 1's(d) has at least two 0'sCorrect Answer: (d) has at least two 0'sSolution:A language, which has at least two 0's33. Answer the following question(a) A and B only(b) A and C only(c) A and D only(d) A onlyCorrect Answer: (a) A and B onlySolution:A and B are correct option.34. Given below are two statementsStatement I: The family of context free languages is closed under homomorphism Statement II: The family of context free languages is closed under reversal In light of the above statements, choose the correct answer from the options given below :(a) Both Statement I and Statement II are true(b) Both Statement I and Statement II are false(c) Statement I is true but Statement II is false(d) Statement I is false but Statement II is trueCorrect Answer: (a) Both Statement I and Statement II are trueSolution:Both Statement I and Statement II are true35. What is the minimum number of states required to the finite automaton equivalent to the transition diagram given below?(a) 3(b) 4(c) 5(d) 6Correct Answer: (c) 5Solution:536. Find the regular expression for the language accepted by the automata given below.(a) (aa* (a+b)ab)*(b) (a+b)ab(ab+bb+ aa* (a+b)ab)*(c) a* ab(ab+bb+ aa* (a+b)ab)*(d) a* (a+b)ab(ab+bb+ aa* (a+b)ab)*(e) *Correct Answer: (e) *37. What language is accepted by the pushdown automaton(a)(b)(c)(d)Correct Answer: (d)Solution:38. Match List - I with List - II Choose the correct answer from the options given below:(a) A ‐ III, B ‐I , C ‐ IV, D ‐ II(b) A ‐ III, B ‐II , C ‐ I, D ‐ IV(c) A ‐ III, B ‐IV, C ‐ I, D ‐ II(d) A ‐ IV, B ‐III , C ‐ I, D ‐ II(e)*Correct Answer: (e)*39. Which of the following concepts can be used to identify loops?A. Depth first ordering B. Dominators C. Reducible graphs Choose the correct answer from the options given below: (a) A and B only(b) A and C only(c) B and C only(d) A, B and CCorrect Answer: (d) A, B and CSolution:A Depth first ordering :- Depth - first search (DFS) is an algorithm for traversing or searching tree or graph data structures. The algorithm starts at the root node (selecting some orbitrary node as the root node in the case of a graph) and explores as for as possible along each branch before back tracking. Vertex Orderings :- i) pre ordering ii) post ordering iii) reverse preordering iv) reverse postordering for binary trees there is additionally e) in ordering f) reverse in - ordering. Dominators :- Dominators are defined in a directed graph with respect to a source, vertex S. formally, a node a is said to dominate a node w art source vertex S if all the paths from S to w in the graph must pass through node u. Note that only the vertices that are reachable from source vertex in the directed graph are considered here. Reducible Graph :- A control how graph G is said to be reducible if the removal of its back edges leads to an acyclic graph where each node can be reached from the initial node of G. So All above concepts can be used to identify loops40. Given below are two statementsStatement I: LL(1) and LR are examples of Bottom‐up parsers. Statement II: Recursive descent parser and SLR are examples of Top‐down parsers In light of the above statements, choose the correct answer from the options given below:(a) Both Statement I and Statement II are true(b) Both Statement I and Statement II are false(c) Statement I is true but Statement II is false(d) Statement I is false but Statement II is trueCorrect Answer: (b) Both Statement I and Statement II are falseSolution:Both Statement I and Statement II are false.Submit Quiz« Previous12345678910Next »