U.G.C. NET Exam. Dec. 2020-June 2021 Paper II (COMPUTER SCIENCE & APPLICATIONS)

Total Questions: 100

51. Which agent deals with the happy and unhappy state?

Correct Answer: (a) Utility‐based agent
Solution:

Utility Based Agent :-Utility based agent choose actions on the basis of utilities or preference and choose the actions that maximize the expected utility. Utility describes the happiness of the agent.
Model Based Agent :- Model based agents have a model i.e. knowledge about how things happen in the whole world & based on the model it performs actions.
Goal based Agent :- Goal based agents expand the capabilities of the model - based agent by having the "goal" information. They choose an action, so that they can achieve the goals. These agents may have to consider a long sequence of possible actions before deciding whether the goal is achieved or not.
Learning agents :- learn from past experiences and automatically adapt through learning. It has learning capabilities. Hence, Utility - based agents deal with happy & unhappy agents.

52. Given below are two statements

Statement I: Breadth‐First Search is optimal when all the step costs are equal whereas uniform‐cost search is optimal with any step‐cost.
Statement II: When all the step costs are same uniform‐cost search expends more nodes at depth d than the Breadth‐First Search.
In light of the above statements, choose the correct answer from the options given below

Correct Answer: (a) Both Statement I and Statement II are true
Solution:Both Statement I and Statement II are true.

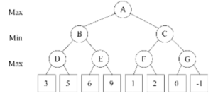
53. Consider the given tree below. Calculate the value at the root of the tree using alpha‐beta pruning algorithm.

c

Correct Answer: (b) 5
Solution:5

54. Which among the following statement(s) is(are) FALSE?

A. Greedy best‐first search is not optimal but is often efficient.
B. A* is complete and optimal provided h(n) is admissible or consistent.
C. Recursive best‐first search is efficient in terms of time complexity but poor in terms of space complexity.
D. h(n) = 0 is an admissible heuristic for the 8‐puzzle.

Correct Answer: (c) C only
Solution:C is false only.

55. Consider the sentence below.

There is a country that borders both India and Pakistan.
Which of the following logical expressions express the above sentence correctly when the predicate Country(x) represents that x is a country and Borders(x, y) represents that the countries x and y share the border?

Correct Answer: (a) ∃c Country(c) ^∧ Border (c, India) ∧ Border (c,Pakistan)
Solution:∃c Country(c) ∧ Border (c, India) ∧ Border (c,Pakistan)

56. Next five questions are based on the following passage.

Consider a domain consisting of three Boolean variables Toothache, Cavity, and Catch. The

Correct Answer: (a) 0.200
Solution:

0.200
Probability (Cavity)
= 0.108 + 0.012 + 0.072 + 0.008
= 0.200

57. The probability of a cavity, given evidence of a toothache, P(cavity | toothache) is __________.

Correct Answer: (b) 0.600
Solution:

58. The probability of a toothache, given evidence of a cavity, P(toothache | cavity) is __________.

Correct Answer: (b) 0.600
Solution:

P(toothache | cavity)
= P(toothache ∧cavity)|P(cavity)
= (0.108 + 0.012)|(0.108 + 0.012 + 0.072 + 0.008)
= 0.600

59. P(cavity ∨ toothache) is __________.

Correct Answer: (c) 0.280
Solution:= 0.108 + 0.012 + 0.072 + 0.008 + 0.016 + 0.064 = 0.280

60. The probability for Cavity, given that either Toothache or Catch is true, P(Cavity | toothache ∨ catch) is _______.

Correct Answer: (d) 0.4615
Solution:

P(cavity | toothache ∨ catch)
= cavity and (toothache or catch) | (catch or toothache)
= (0.108 + 0.012 + 0.072)| 0.416
= 0.4615