U.G.C. NET Exam. June 2023 Paper-II (COMPUTER SCIENCE)

Total Questions: 100

61. Given the basic ER diagram and relational model, which of the the following is incorrect?

Correct Answer: (c) In a row of relational table, an attribute can have more than one value
Solution:

The term 'entity' belongs to ER model and the term 'relational table' belongs to relational model. Statement of the option (a) and (b) both are correct. ER model supports both multivalued and composite attributes. Statement of the option (c) is incorrect and (d) is correct. In relation model, an entry in relational table can have exactly one value or a NULL value.

62. A processor chip is used for application in which 30% of execution time is spent on floating point addition. For the new model of the processor, the design team has come up with redesign the floating point adder to make it twice as fast. What will be possible maximum speed up by this redesign?

Correct Answer: (c) 1.18
Solution:

63. Given below are two statements:

Which of the following concurrency control protocol ensures both conflict serializability and freedom from deadlock?
Statement I: Two phase locking
Statement II: Timestamp ordering In the light of the above statements,
choose the most appropriate answer from the option given below:

Correct Answer: (d) Statement I is incorrect but Statement II is correct
Solution:

Two phase locking (2PL) is a concurrency control method that guarantees serializability. the protocol utilizes locks, applied by a transaction to data, which may block (interpreted as signals to stop) other transactions from accessing the same data during the transaction. 2PL may be lead to deadlocks that result from the mutual blocking of two or move transactions.
timestamp. Based concurrency control algorithm is a non-lock concurrency control method. In Timestamp based method, deadlock cannot occur as no transaction ever waits. so, the statement I is incorrect but statement II is correct.

64. Consider the following statements

A. C-Fuzzy means clustering is a supervised method of learning
B. PCA is used for dimension reduction
C. Apriori is not a supervised technique
D. When a machine learning model becomes so specially tuned to its exact input data that it fails to generalize to other similar data it is called under fitting
Choose the correct answer from the options given below :

Correct Answer: (b) B and C
Solution:

C- fuzy means clustering is actually an unsupervised method. So, the statement A is incorrect. principal component Analysis (PCA) is commonly used for dimensionality reduction. So, the statement B is correct. Apriori is indeed an unsupervised technique used in association rule learning. So, the statement C is correct. When a model is overly simplified and fails to capture the underlying patterns of the data, it is called overfitting. Underfitting happened when a model is too simple to learn the underlying structure of the data. So, the statement D is incorrect.

65. Southerland Hodgeman method is used on

Correct Answer: (c) Convex polygons
Solution:

The Sutherland-Hodgeman algorithm is used for clipping polygons against a rectangular window. It works by extending each line of the convex clip polygon in turn and selecting only vertices from the subject polygon that are on the visible side.

66. A. The set of turning machine codes for TM's that accept all inputs that are palindromes (possible along with some other inputs) is decidable

B. The language of code for TM's M that when started with blank tape, eventually write a 1 somewhere on the type is undecidable
C. The language accepted by a TM M is L (M) is always recursive
D. Post's correspondence problem is undecidable
Choose the correct answer from the option given below:

Correct Answer: (d) B and D only
Solution:

The set of Turing machine codes for Turing machines that accept all inputs that are palindromes (along with some other inputs) is undecidable. This is because the set of palindromes is not recursively enumerable, and determining whether a Turing machine accepts all palindromes is equivalent to determining whether it accepts all strings in that set, which is undecidable. So, the statement (A) is incorrect.
(B) The language of codes for Turing machines that, when started with a blank tape, eventually write a 1 some where on the tape is undecidable. This falls under the category of the Halting problem, which is known to be undecidable. So, statement (B) is correct.
(C) The language accepted by a Turing machine M is always recursive. This is not necessarily true. there exist languages that are not recursive, meaning they cannot be decided by a turing machine. so, the statement (C) is incorrect.
(D) Post's correspondence problem (PCP) is known to be undecidable, which means there is no algorithm that exists that can solve all instances of the PCP. So, the statement (D) is correct.

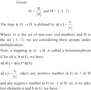
67. Answer the following question

Correct Answer: (c) An onto homomorphism, which is not on to one
Solution:

68. Which of the following parser is most powerful parser?

Correct Answer: (c) Canonical LR
Solution:

The 'canonical LR' parser is more powerful parser because it utilizes the full LR (1) parsing technique, which means it considers one look ahead symbol when making parsing decisions. This additional look ahead allows it to handle more complex grammars and resolve parsing conflicts more effectively than parsers with limited lookahead, such as SLR and LALR parsers. canonical LR parsers construct a coronial collection of LR (1) sets, providing a more comprehensive analysis of the grammar's structure.

69. What is x in the following program?

# include < stdio h>
int main ()
{typedef (*(* arrfptr[3]) ()) [10]:
arrfptr x;
return 0; }

Correct Answer: (e) *
Solution:

In the given program, 'arrfptr' is a typedef for an array of function pointers. This means 'arrfptr' is an array of size 3, where each element is a pointer to a function. Each function returns a pointer (*) to an array of 10 elements.
So, 'x' is an array of three function pointer where function return a pointer to an array of 10 elements.

70. Find the sum of all four digit numbers formed using the digits 1,2,4 and 6.

Correct Answer: (a) 86,658
Solution:

To find the sum of all four-digit numbers formed using the digits 1, 2, 4 and 6 we can calculate the sum of each digit in each position and then multiply it by the number of times each digit appears in that position.
The sum of digits in that place = 1 + 2 + 4 + 6 = 13 Each digit appears in that place = 6 times So, the sum contributed by
Thousands place = 13 × 6 × 1000 = 78000
Hundreds place = 13 × 6 × 100 = 7800
Tens place = 13 × 6 × 10 = 780
Unit place = 13 × 6 × 1 = 78
Adding these sums to gather = 78000 + 7800 + 780 + 78 = 86658
Hence, the sum of all four digit number is 86,658.