UGC-NET (NTA) Environmental Sciences, December-2019

Total Questions: 100

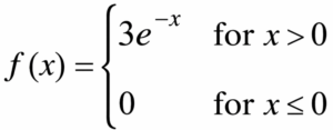
21. The probability density function of a continuous random variable x is given by


Which of the following would be the probability that x lies between 1 and 2?

Correct Answer: E. *

22. Given below are two statements, one is labelled as Assertion (A) and the other is labelled as Reason (R).

Assertion (A): Himalayan states of India have greater hydropower potential.
Reason (R) :Hills provide an altitudinal gradient for the construction of dams.
In the light of above two statements, choose the correct options.

Correct Answer: A. Both (A) and (R) are true and (R) is the correct explanation of (A).
Solution:

India is endowed with rich hydro-power potential; it ranks fifth in the world in terms of usable potential. The Himalaya is the home of many perennial rivers. Typical topography of the Himalaya is suitable for the construction of HEPs. Of the total identified hydro-power potential, 76 per cent is identified as the total hydro-power potential in the Himalayan States. Of this potential, 38.4 per cent is so far harnessed, 85.9 per cent is under construction, 53.46 per cent is going to be developed, which is under construction, and 86.6 per cent capacity is yet to be developed.
Hills provide an altitudinal gradient for the construction of dams.

23. Solar insolation on a rectangular module (1.5 m x 2.0 m) of photovoltaic cells is 550 W/m². If the efficiency of the cells is 12%, what is the power output of the module?

Correct Answer: D. 198 W
Solution:

Total Power Output = Total Area x Solar
Irradiance × Conversion Efficiency
From question, we have
Total area = 1.5 m × 2m = 3 m²
Solar Irradiance = 550 W/m²
Efficiency = 12% = 0.12 Hence,
Total Power output
= 3 x 550 × 0.12 = 198 Watts.

24. Polar Stratospheric Clouds facilitate which of the following reactions in the development of ozone hole?

Correct Answer: E. B,D
Solution:

Polar stratospheric clouds (PSCs) are clouds that form in the extremely cold and dry conditions that exist in the polar night regions of the stratosphere. PSCs are fundamental to an understanding of the Antarctic ozone hole. PSCs are important because they convert chlorine species that do not destroy ozone (like hydrochloric acid, HCI, and chlorine nitrate, CIONO₂) into forms that can destroy ozone.
There are two types of PSCs, referred to as Type I and Type II PSC.
PSC I provides a catalytic surface for a heterogeneous reaction between CINO and HCI that leads to regeneration of active chlorine.
CINO₃ + HCI → Cl₂ + HNO₃
and 2CI + 20₃→ 2CIO + 20₂.

25. Sound emitted from a line source attenuates at which of the following rates as a result of geometrical spreading?

Correct Answer: A. ~3 dB per doubling of distance from source
Solution:

Geometric Spreading refers to the spreading of sound energy as a result of the expansion of the wavefronts. Geometric spreading is independent of FREQUENCY and has a major effect in almost all sound propagation situations. There are two common kinds of geometric spreading: spherical and cylindrical spreading. A line source will produce cylindrical spreading, resulting in a sound level reduction of 3 dB per doubling of distance.

26. Which of the following chemical organic species is/are insoluble in acid or alkali?

Correct Answer: C. Humin
Solution:

Humin is insoluble, humic acid is soluble only in base, and fulvic acid is soluble in both acid and base. Because of their acidbase, sorptive, and complexing properties, both the soluble and insoluble humic substances have a strong effect upon the properties of water. In general, fulvic acid dissolves in water and exerts its effects as the soluble species. Humin and humic acid remain insoluble and affect water quality through exchange of species, such as cations or organic materials, with water.

27. Which among the following are considered as ecosystem services provided by forest ecosystem?

(a) Resins and gums
(b) Pollination by insects
(c) Climate regulation
(d) Timber
Choose the correct option:

Correct Answer: B. (b) and (c) only
Solution:

Pollination: Insects and wind pollinate plants and trees, which is essential for the development of fruits, vegetables and seeds. Animal pollination is an ecosystem service mainly provided by insects but also by some birds and bats. Some 87 out of the 115 leading global food crops depend upon animal pollination including important cash crops such as cocoa and coffee.

28. Which one of the following is the important hotspot of biodiversity in India?

Correct Answer: C. Western Ghats
Solution:

The Western Ghats are one of the world's biodiversity hotspots with over 5,000 flowering plants, 139 mammals, 508 birds and 179 amphibian species. At least 325 globally threatened species occur here. The range covers 60,000 km² and forms the catchment area for a complex of river systems that drain almost 40% of India

29. Identify the correct sequence of the components of Producer Gas from biogasification of coal in decreasing order of their concentrations:

Correct Answer: C. N₂ > CO > H₂ > CH₄
Solution:

Producer gas is fuel gas that is manufactured from material such as coal, as opposed to natural gas. It can be produced from various fuels by partial combustion with air, usually modified by simultaneous injection of water or steam to maintain a constant temperature and obtain a higher heat content gas by enrichment of air gas with hydrogen. The average. composition of ordinary producer gas according to Latta was: CO₂: 5.8%; O₂: 1.3%; CO : 19.8%; H₂: 15.1%;
CH₄: 1.3%; N₂: 56.7%; B.T.U. gross per cu.ft 136. Hence correct sequence is: N₂ > CO > H₂ > CH₄.

30. Given below are two statements, one is labelled as Assertion (A) and the other is labelled as Reason (R).

Assertion (A): Most of the world's geоthermal sites are located in the circum-pacific belt known as 'Rim of Fire'.
Reason (R) : Geothermal fields require combination of three geological conditions-a natural underground source of water; an impermeable rock that traps water and allows formation of steam; and a large mass of hot rock in the vicinity of water system.
In the light of above two statements, choose the correct options.

Correct Answer: B. Both (A) and (R) are true, but (R) is not the correct explanation of (A).
Solution:

Enthalpy, the sum of the internal energy and the product of the pressure and volume of a thermodynamic system. Enthalpy is an energy-like property or state function-it has the dimensions of energy (and is thus measured in units of joules or ergs), and its value is determined entirely by the temperature, pressure, and composition of the system and not by its history. In symbols, the enthalpy, H, equals the sum of the internal energy, E, and the product of the pressure, P, and volume, V, of the system: H = E + PV.