UGC-NET (NTA) POPULATION STUDIES, JANUARY-2025

Total Questions: 100

11. Which one of the following is the appropriate formula for Population Projection as per Hyperbolic function?

Correct Answer: 4.
Solution:

to an infinite population. This point is known as
the "doomsday singularity"-a theoretical point
where population growth becomes unsustainable.
Thus, this hyperbolic function demonstrates
an unrealistic but mathematically useful model
for understanding rapid exponential-like growth
leading to colllapse.

12. What is the formula to calculate NRR?

Correct Answer: 1.
Solution:

The Net Reproduction Rate (NRR) is a demographic measure that indicates the average number of daughters a new-born girl will bear during her lifetime, assuming she experiences the age-specific fertility and mortality rates of a given period. It helps determine whether a population is replacing itself in the next generation. The correct formula for NRR in the form of a life table is:

13. What does Whilpple's index measure?

Correct Answer: 1. Digit preference
Solution:

Whipple's Index is a demographic tool used to measure digit preference or age heaping in age data. It quantifies the extent to which people report ages ending in certain digits-particularly 0 and 5, which are often overreported due to rounding or inaccurate knowledge of age. The index helps assess data quality in censuses and surveys.
A perfectly accurate age distribution gives a Whipple's Index of 100.
Values above 100 indicate increasing levels of digit preference or age misreporting.

14. If annual growth rate of a population is 3.5%, then how many years it will take, to double the population?

Correct Answer: 1. 20
Solution:

This means the population will double in
approximately 20 years if the growth rate remains
constant.

15. As per the report of the Technical Group on Population Projections (2020) for India and states, what is the estimated population of India in 2036?

Correct Answer: 3. 152.2 crores
Solution:

As per the Technical Group on Population Projections (2020), under the National Commission on Population, the projected population of India for the year 2036 is estimated to be 1,520.8 million, which is approximately 152.2 crores. This estimate considers medium fertility assumptions and is widely cited in official planning documents and policy projections.

16. As per the United Nations population projection (2022), the world population is expected to reach 8.5 billion in which year?

Correct Answer: 3. 2030
Solution:

According to the United Nations World Population Prospects 2022, the world population is projected to reach 8.5 billion by the year 2030. This projection is based on medium-variant assumptions of fertility, mortality, and migration trends across countries. The same report states the global population reached 8 billion in November 2022.

17. Which state of India recorded the highest proportion of Scheduled Tribe Population according to census of India, 2011?

Correct Answer: 4. Chhattisgarh
Solution:

As per Census of India 2011, Chhattisgarh recorded the highest proportion of Scheduled Tribe (ST) population among the options given, with about 30.6% of its total population being tribal. While states like Mizoram, Meghalaya, and Nagaland have higher percentages nationally, among the listed choices, Chhattisgarh stands highest.

18. Which one assumption is not true in Hajnal's method to calculate Singulate Mean Age at Marriage (SMAM)?

Correct Answer: 2. No change in age structure
Solution:

The Singulate Mean Age at Marriage (SMАМ), developed by John Hajnal, estimates the average age at which people marry using census data on proportions never married by age. Its core assumptions include:
No migration differential by marital status
No mortality differential by marital status
Marriage is irreversible
However, "no change in age structure" is not an assumption of this method. The method uses age structure but does not assume it remains constant.

19. According to NFHS-5, which among the following States/UT in India has the lowest Total Fertility Rate (TFR)?

Correct Answer: 3. Sikkim
Solution:

According to the National Family Health Survey-5 (NFHS-5), Sikkim recorded the lowest Total Fertility Rate (TFR) in India, with a TFR of 1.1, which is significantly below the replacement level (2.1). This reflects high levels of education, urbanization, and contraceptive use in the state.

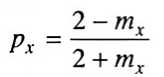
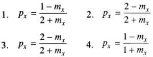
20. In the Life Table, the probability of survival in the age range x to x + 1 is calculated by using which of the following?

Correct Answer: 5. *
Solution:

In the Life Table, the probability of survival from age x to x + 1, denoted as Px can be approximated from the central death rate m using the formula:
This formula gives an approximate survival probability using central mortality rates.