UGC-NET (NTA) POPULATION STUDIES, June-2021

Total Questions: 100

81. IN NFHS-V, which of the following survey tools are used for data collection?

(a) Household schedule
(b) Woman's schedule
(c) Man's schedule
(d) Bio-markers
(e) Visitor's schedule
Choose the correct answer from the options given below:

Correct Answer: C. (a), (b), (c) and (d) only

82. Which of the following statements related to stable population is correct:

(a) A stable population could grow or decline at a constant rate
(b) Percentage of people at each age and sex do not change over time
(c) A stable population could remain unchanged i.e. zero growth rate
(d) All stationary populations are stable but not all stable populations are stationary
Choose the correct answer from the options given below:

Correct Answer: B. (a), (b), (c) and (d)

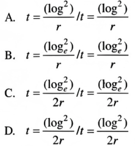
83. Which one of the following formulae gives doubling time (+) of a given population?

Correct Answer: B.

84. While about 70% of the earth is covered by water, what proportion (in per cent) of water is suitable for human use?

Correct Answer: B. 1%

85. Which one of the following diseases is a disease of the Circulatory System?

Correct Answer: A. Cerebrovascular diseases

86. According to the 2020 SRS Bulletin of India, which one of the following States/UTs has recorded the lowest Crude Birth Rate (per 1000 population)?

Correct Answer: C. Andaman and Nicobar Islands

87. In order to get a population estimate of the District for a particular year in the intercensal period, which one of the following would be the most preferred method?

Correct Answer: C. Estimate the exponential rate of population growth for the intercensal period and use it to project population for the year

88. 'The Limits to Growth' theory is associated with:

Correct Answer: C. Club of Rome

89. Which is the civilization from which concept of urbanization has spread?

Correct Answer: A. Mesopotamia civilization

90. Which among the following was introduced by Brundtland Committee Report?

Correct Answer: A. Sustainable Development