UGC NTA NET/JRF Exam, December-2024 Economics

Total Questions: 100

11. When the percentage of income paid as tax decreases as income increases, it is called a :

Correct Answer: (d) Regressive Tax
Solution:

A Regressive Tax is one in which the tax rate progressively decreases as the tax base (income) increases. Thus, the greater tax burden falls on the poor.

The main benefit cited for regressive taxes is that they will increase the rate of capital formation in the country because the wealthy class, who have the ability to save, will have to pay less tax, and their savings will be used in capital formation.
Conversely, the poor class, who will have to pay more tax, will be compelled to work harder.

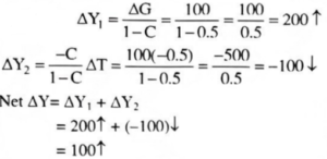
12. If government expenditure increases by 100, total tax revenue increases by 100, the marginal propensity to consume (MPC) is 0.5, and there is no change in autonomous investment and consumption, what will be the increase in GDP in a simple Keynesian closed economy model?

Correct Answer: (b) ₹100
Solution:

13. Match LIST-I with LIST-II

List-I (Model)List-II (Description)
A. Perfectly Competitive ModelI. The producer first sets the price of the product and then produces the output demanded at that price.
B. Bertrand ModelII. It accepts the concept of interdependence among business firms.
C. Stackelberg ModelIII. Large number of buyers and sellers.
D. Oligopoly ModelIV. Few competing firms in the market.

Choose the correct answer from the options given below :

Correct Answer: (a) A-III, B-I, C-II, D-IV
Solution:

The correct matching of List-I with List-II is:

List-I (Model)List-II (Description)
A. Perfectly Competitive ModelIII. Large number of buyers and sellers.
B. Bertrand ModelI. The producer first sets the price of the product and then produces the output demanded at that price.
C. Stackelberg ModelII. It accepts the concept of interdependence among business firms.
D. Oligopoly ModelIV. Few competing firms in the market.

14. Demographic Dividend is related to which aspect of the population?

Correct Answer: (d) Increase in the population of the wageearning age group
Solution:

Demographic dividend is related to the increase in the population of the wage-earning age group.
Demographic Dividend : The demographic dividend refers to the potential for accelerated economic growth that arises from a shift in a country's age structure, specifically an increasing share of the working-age population (typically 15 to 64 years old) and a decreasing dependency ratio, which contributes to a larger volume of production creation.

15. Match LIST-I with LIST-II

LIST - I (Theories)LIST - II (Descriptions)
A. Lindahl's TheoryI. Production of Public Goods
B. Club TheoryII. Constant growth of employment in Government agencies
C. Parkinson's LawIII. Pricing of Public Goods
D. Hotelling RuleIV. Pricing of exhaustible resources

Choose the correct answer from the options given below:

Correct Answer: (a) A-III, B-I, C-II, D-IV
Solution:The correct matches are:
LIST - I (Theories)LIST - II (Descriptions)
A. Lindahl's TheoryPricing of Public Goods
B. Club TheoryProduction of Public Goods
C. Parkinson's LawConstant growth of employment in Government agencies
D. Hotelling RulePricing of exhaustible resources

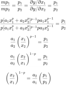
16. Given the CE S production function = [a₁x₁ᵖ + a₂x₂ᵖ]ᵖ the elasticity of substitution between the different factors will be :

Correct Answer: (d) 1/1-P
Solution:

Given,
Therefore, the correct option (d)

17. Which of the following is/are NOT a definition of Gains from Trade?

(A) It is the benefit that individuals and countries obtain by participating in international trade.
(B) It is the gross benefit to economic agents resulting from an increase in trade.
(C) It is the Producer Surplus minus the Consumer Surplus.
(D) It is the net benefit to economic agents resulting from an increase in trade.
(E) It is the sum total of Producer Surplus and Consumer Surplus.

Choose the correct answer from the options given below:

Correct Answer: (b) Only В, С
Solution:

Analysis of Each Statement:
Statement A: It is the benefit that individuals and countries obtain by participating in international trade.

This is a correct definition of gains from trade. Gains from trade refer to the benefits countries and individuals receive from trading goods and services.

Statement B: It is the gross benefit to economic agents resulting from an increase in trade.

This is partially correct but not precise. The term "gross benefit" is used less often compared to "net benefit," which accounts for costs. However, it doesn't entirely contradict the concept.

The provided solution marks this as incorrect, likely due to the emphasis on "gross" over "net" in formal economic definition.

Statement C: It is the Producer Surplus minus the Consumer Surplus.

This statement is incorrect. Gains from trade are not calculated by subtracting Consumer Surplus from Producer Surplus. Instead, they are often represented as the sum of the two.

Statement D: It is the net benefit to economic agents resulting from an increase in trade.

This is a correct definition. Gains from trade are correctly viewed as the net benefit.
Statement E: It is the sum total of Producer Surplus and Consumer Surplus.
This is a correct definition. Gains from trade are often measured as the total sum of the increase in Producer Surplus and Consumer Surplus.

The correct option is (b) Only B, C.

18. Match LIST-I with LIST-II

LIST-I (Concept/Theory)LIST-II (Economist)
A. Supply side of international tradeI. David Ricardo
B. Demand side of international tradeII. Bastable and Alfred Marshall
C. Opportunity cost of international tradeIII. G. Haberler
D. Real cost theory of international tradeIV. Alfred Marshall and Edgeworth

Choose the correct answer from the options given below:

Correct Answer: (a) A-I, B-IV, C-III, D-II
Solution:

The correct matches are :

LIST-I (Concept/Theory)LIST-II (Economist)
A. Supply side of international tradeDavid Ricardo
B. Demand side of international tradeAlfred Marshall and Edgeworth
C. Opportunity cost of international tradeG. Haberler
D. Real cost theory of international tradeBastable and Alfred Marshall

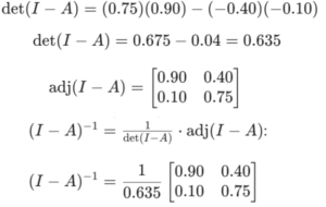
19. Solve the following question?

Correct Answer: (c) 26.77 and 25.20
Solution:

To solve this, we need to apply the Input Output model from the Leontief framework. The formula to find the output levels is:

X= (I-A)⁻¹D
Where:
X = Output Vector
I = Identity Matrix
A = Input-Output Matrix
Step 1:
Step 2: Now find the inverse of the matrix
Step 3:
Calculation:
Now, dividing each by 0.635:

20. Arrange the following events in increasing order based on their probability of occurrence :

(A) Probability of getting two heads in a simultaneous toss of two coins.
(B) Probability of getting a Queen (Begum) card from a single draw of a well-shuffled deck of cards.
(C) Probability of getting one white ball from a bag containing 3 white and 7 black balls.
(D) Probability of getting an even number from a single roll of a die (dice).

Choose the correct answer from the options given below:

Correct Answer: (d) B, A, C, D
Solution:

(A) Two Heads from two coins:
Sample Space: (HH,HT,TH,TT)
Probability: 1/4
(B) Getting a Queen from a deck of cards:
Total cards: 52, Queen cards: 4
Probability: 4/52 =  1/13
(C) Getting one white ball (3 white, 7 black):
Total balls: =10 White balls: 3
Probability: 3/10
(D) Getting an even number froma single die roll:
Sample Space: {1,2,3,4,5,6}
Even numbers: {2,4,6}
Probability:= 3/6 = 1/2
Arranging in Increasing Order of Probability:
A = 1/4 = 0.25
B = 1/13≈0.0765
C=3/10= 0.3
D = 1/2 = 0.5
The correct order is (B, A, C, D), which corresponds to option (d).