UGC NTA NET/JRF Exam, December-2024 Economics

Total Questions: 100

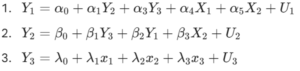
21. Consider the following system of equations :

Correct Answer: (a) Under-identified
Solution:

Order condition
(i) K - M, G - 1
Where:
K = Total number of exogenous variables in the entire system.
M = Number of exogenous variables included in the specific equation.
G = Total number of endogenous variables in the entire system.
(1) K-m = G-1 exactly identified
(2) K-m < G -1 unidentified
(3) K-m > G -1 over identified
Analysis of the First Equation :
K = 6 G = 3
m = 5
K - M G - 1
6 - 5, 3 - 1
1 < 2 Unidentified (К – М < G - 1)

22. According to the Real Business Cycle School, lin the absence of supply shock:

Correct Answer: (b) There is only voluntary unemployment
Solution:

According to the Real Business Cycle (RBC) school, unemployment in economics arises primarily due to individual choices rather than involuntary factors. The RBC theory assumes that the labor market is perfectly competitive and that wages adjust flexibly.

In the absence of supply shocks, the level of employment is determined by workers' preferences between labor and leisure.

Workers choose whether or not to work based on the real wage and their utility maximization.

Therefore, any observed unemployment is considered voluntary because individuals decide not to work rather than being unable to find a job.

Thus, involuntary unemployment does not exist in the RBC model.

23. Consequences of hoarding of money by individual are :

(A) Loss of utility by not purchasing goods and services.
(B) Foregone interest by not saving.
(C) Fall of real value of money by deflation.
(D) Loss of return by not purchasing other assets
Choose the correct answer from the options given below:

Correct Answer: (b) A, B, D Only
Solution:

Consequences of an individual holding money (Hoarding) are as follows:
(A) Loss of utility from not buying goods and services.
(B) Forgoing interest by not saving.
(D) Loss of return from not buying other assets.

24. There is an inverse relationship between the rate of interest and the speculative Demand for Money. This is due to :

Correct Answer: (b) Regressive Expectation Hypothesis
Solution:

The inverse relationship between the interest rate and the speculative demand for money is explained by the Regressive Expectations Hypothesis.

According to this hypothesis, people expect interest rates to return to a long-term average over time. When current interest rates are low, people expect them to rise in the future, so they hold more money and have a low speculative demand for bonds (because bond prices are expected to fall).

Conversely, when interest rates are high, people expect them to fall, leading them to buy more bonds (high speculative demand) and hold less money.

25. The method used for estimation of price change of a house due to change in environment like starting of park, scenic beauty etc is :

Correct Answer: (b) Hedonic Pricing method
Solution:

The method used to estimate the change in house prices due to environmental changes, such as a new park or natural beauty, is the Hedonic Pricing Method.

This method analyzes how different characteristics of a property, including environmental factors like proximity to a park, affect its market price. By comparing the prices of similar houses with different environmental attributes, researchers can isolate the value attributed to specific environmental features.

26. In the New Classical Macro Model, in the absence of an unanticipated shock, we can have the following:

(A) Voluntary Unemployment
(B) Involuntary Unemployment
(C) Disguised Unemployment
(D) Cyclical Unemployment
(E) Natural Rate of Unemployment
Choose the correct answer from the options given below:

Correct Answer: (d) Only A and E
Solution:

The New Classical Macroeconomic Model (New Classical Macro Model) is based on the premise that all markets, especially the labor market, are perfectly competitive and clear.
In this model, in the situation of zero stochastic shocks (without unanticipated shocks), the following types of unemployment persist:

1. Voluntary Unemployment: This occurs when individuals choose not to work because the wage they are offered is less than the value they place on leisure (or their reservation wage).
In the New Classical Model, unemployment is generally treated as voluntary.

2. Natural Rate of Unemployment: This includes structural unemployment and frictional unemployment (frictional unemployment is often referred to as residential unemployment in the source text).
These types of unemployment are consistent with a perfectly competitive, market-clearing equilibrium.

27. The unit root test for a time series is based on the null hypothesis that the time series under consideration is :

Correct Answer: (b) Non-stationary
Solution:

The unit root test for a time series is based on the null hypothesis (HO) that a unit root exists in the time series under consideration, meaning it is nonstationary. The primary objective of the test is to check whether the time series data is stationary or not.

Null Hypothesis (H₀): A unit root exists → The series. is Non-stationary.

Alternative Hypothesis (H₁): A unit root does not exist → The series is Stationary.

28. Arrange the following from earlier to present

(A) John F. Nash
(B) Von Neumann and Oscar Morgenstern
(C) Robert Axelrod
(D) Paul Milgrom
(E) John Maynard Smith
Choose the correct answer from the options given below:

Correct Answer: (d) B, A, C, E, D
Solution:

(B) Von Neumann and Morgenstern (1944)
(A) John F. Nash (1951)
(C) Robert Axelrod (1984)
(E) John Maynard Smith (1999)
(D) Paul Milgrom (2020)

29. Arrange the following demographic phases as per C. R. Blacker's theory of population.

(A) Low mortality and death exceeding birth
(B) Falling birth rates, but decreasing mortality
(C) High birth rate and high death rate
(D) Low birth rate balanced by equally low mortality
Choose the correct answer from the options given below:

Correct Answer: (b) C, B, D, A
Solution:

According to demographic transition theory. the demographic stages are based on changes in birth and death rates over time. The correct sequence reflects the natural demographic transition:

(C) High Birth Rate and High Death Rate
(B) Fall in Birth Rate, but Decline in Death Rate
(D) Low Birth Rate, equally Low Death Rate
(A) Low Death Rate and Deaths exceeding Births

30. Arrange the following books by their year of publication, from oldest to newest (chronological order) :

(A) Why Nations Fail
(B) Grundrisse
(C) Poverty and Famines
(D) The Theory of Moral Sentiments
(E) Production of Commodities by Means of Commodities
"Choose the correct answer from the options given below:"

Correct Answer: (c) D, B, E, C, A
Solution:

The books arranged chronologically (oldest to newest) are:
(D) The Theory of Moral Sentiments, Adam Smith 1759 (B) Grundrisse, Karl Marx, 1857-1858 (Written)
(E) Production of Commodities by Means of Commodities, Piero Sraffa, 1960
(C) Poverty and Famines, Amartya Sen, 1981
(A) Why Nations Fail, Daron Acemoglu and James A. Robinson, 2012