UGC NTA NET/JRF Exam, Environmental Sciences, September-2022

Total Questions: 100

31. Which section of Environmental (Protection) Act, 1986 deals with offences by companies?

Correct Answer: C. Article 16
Solution:

Section 16 in The Environment (Protection) Act, 1986: Where any offence under this Act has been committed by a company, every person who, at the time the offence was committed, was directly in charge of, and was responsible to, the company for the conduct of the business of the company, as well as the company, shall be deemed to be guilty of the offence and shall be liable to be proceeded against and punished accordingly:

Provided that nothing contained in this sub-section shall render any such person liable to any punishment provided in this Act, if he proves that the offence was committed without his knowledge or that he exercised all due diligence to prevent the commission of such offence.

32. Which Article of the Constitution of India states that it shall be the duty of every citizen of India to protect and improve the natural environment and to have compassion for living creatures?

Correct Answer: B. Article 51A
Solution:

The chapter on fundamental duties of the Indian Constitution clearly imposes duty on every citizen to protect environment.

Article 51-A (g), says that "It shall be duty of every citizen of India to protect and improve the natural environment including forests, lakes, rivers and wild life and to have compassion for living creatures."

33. Which among the following is the first major Environmental Protection act to be promulgated in India?

Correct Answer: D. Wildlife Protection Act
Solution:

Environment Protection Act, 1986
• The environmental (Protection) Act, 1986 along with the Environment Protection Rules 1986 amended in 1999.

• This was the first major act to promulgate in India.

• The act was passed after the infamous Bhopal Gas Tragedy.

• The Environmental Protection Act (EPA) of 1986 is umbrella legislation with wide legislative coverage.

• It gives wide powers to the central government to take all such measures as it deems necessary or expedient for the purpose of protecting and improving the quality of the environment. Such measures include laying down standards for environmental quality, restricting areas of industrial operations, laying down procedures for handling hazardous substances, etc.

• The central government can close down offending industries and restrict the setting up of new industries at environmentally non-compatible sites.

• The Environment Rules of 1986 lay down procedures for the setting of emission and discharge standards.

• This Act empowers the Union Government to take direct action against defaulters.

• A host of notifications have been enacted under the EPA, such as those on Environmental Impact Assessment and Coastal Regulation Zones.

34. Which of the following sections of the Indian Penal Code refers to making atmosphere noxious to health as a punishable offence?

Correct Answer: E. (*)

35. Which of the following is NOT included during Environmental Impact Assessment (EIA)?

Correct Answer: D. All the data collection, analysis and developed plans summarized together in a well-structured and concise documents.
Solution:

Environmental Impact Assessment (EIA) is a process of evaluating the likely environmental impacts of a proposed project or development, taking into account inter-related socio-economic, cultural and human-health impacts, both beneficial and adverse.
The fundamental components of an EIA would necessarily involve the following stages:

(a) Screening to determine which projects or developments require a full or partial impact assessment study;

(b) Scoping to identify which potential impacts are relevant to assess (based on legislative requirements, international conventions, expert knowledge and public involvement), to identify alternative solutions that avoid, mitigate or compensate adverse impacts on biodiversity (including the option of not proceeding with the development, finding alternative designs or sites which avoid the impacts, incorporating safeguards in the design of the project, or providing compensation for adverse impacts), and finally to derive terms of reference for the impact assessment;

(c) Assessment and evaluation of impacts and development of alternatives, to predict and identify the likely environmental impacts of a proposed project or development, including the detailed elaboration of alternatives;

(d) Reporting the Environmental Impact Statement (EIS) or EIA report, including an environmental management plan (EMP), and a non-technical summary for the general audience.

(e) Review of the Environmental Impact Statement (EIS), based on the terms of reference (scoping) and public (including authority) participation.

(f) Decision-making on whether to approve the project or not, and under what conditions; and

(g) Monitoring, compliance, enforcement and environmental auditing. Monitor whether the predicted impacts and proposed mitigation measures occur as defined in the EMP. Verify the compliance of proponent with the EMP, to ensure that unpredicted impacts or failed mitigation measures are identified and addressed in a timely fashion.

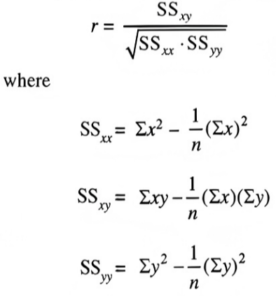
36. To find out the degree of linear relationship between age and height of trees, the parameter to be estimated is:

Correct Answer: B. Correlation coefficient
Solution:

Correlation is defined as the statistical association between two variables. The linear correlation coefficient for a collection of n pairs (x, y) of numbers in а sample is the number r given by the formula
Correlation Coefficient:
1. The value of r lies between -1 and 1, inclusive.
2. The sign of r indicates the direction of the linear relationship between 𝓍 and y:
• If r < 0 then y tends to decrease as x is increased.
• If r > 0 then y tends to increase as x is increased.

3. The size of |r| indicates the strength of the linear relationship between 𝓍 and у:
• If |r| is near (that is, if r is near either 1 or -1) then the linear relationship between 𝓍 and y is strong.
• If |r| is near 0 (that is, if r is near 0 and of either sign) then the linear relationship between 𝓍 and y is weak.

37. The Coefficient of Variation can be measured by:

Correct Answer: C. (Standard deviation/Mean) × 100
Solution:

The coefficient of variation is defined as the ratio of the stanard deviation to the mean, expressed as a percentage.
Formula for coefficient of variation:Example: The coefficient of variation depicts the size of the standard deviation relative to its mean. The primary use of the coefficient of variation is to compare the relative variation of unrelated quantities.

38. Which of the following is a nominal variable?

Correct Answer: B. Blood group type (A, B, AB, О)
Solution:

Nominal data: The categories are not ordered but simply have names. Examples include blood group (A, B, AB, and O) and marital status (married/widowed/single etc.). In this case, there is no reason to suspect that being married is any better (or worse) than being single!

Ordinal data: The categories are ordered in some way. Examples include disease staging systems (advanced, moderate, mild, none) and degree of pain (severe, moderate, mild, none).
Fig.: Diagram showing the different types of variable.

39. 'Hysteresis' is the best defined as:

Correct Answer: A. A change occurring at a steady rate where rate is defined by the directions of change.
Solution:

Hysteresis is the dependence of the state of a system on its history. For example, a magnet may have more than one possible magnetic moment in a given magnetic field, depending on how the field changed in the past.

Plots of a single component of the moment often form a loop or hysteresis curve, where there are different values of one variable depending on the direction of change of another variable.
Hysteresis can be a dynamic lag between an input and an output that disappears if the input is varied more slowly; this is known as rate-dependent hysteresis. However, phenomena such as the magnetic hysteresis loops are mainly rate-independent, which makes a durable memory possible.

40. Which one of the following is correctly matched pair?

Correct Answer: C. Climate Change - Kyoto Protocol
Solution:

The Kyoto Protocol was an international treaty which extended the 1992 United Nations Framework Convention on Climate Change that commits state parties to reduce greenhouse gas emissions, based on the scientific consensus that global warming is occurring and that human-made CO₂ emissions are driving it.