UGC NTA NET/JRF Exam, June-2025 Economics (Shift-II)

Total Questions: 100

41. Which of the following are correct about the foreign trade policy (FTP) 2023 of India?

A. India's FTP 2023 promotes cross border trade in digital economy.
B. FTP 2023 emphasized on creation of Ecommerce export hubs (ECEH).
C. It prohibition export and import of arms and related material from/to Iraq.
D. It prohibition import of charcoal from Somalia.
E. It emphasizes strengthening trade with Democratic People's Republic of Korea in combat aircraft, missiles and arms related materials.
Choose the correct answer from the options given below:

Correct Answer: (d) A, B, C & D Only
Solution:

Highlights of India's foreign trade policy FTP (2023), released by the ministry of commerce and industry on March 31, 2023 and effective from April 1, 2023 A, B, C and D only.

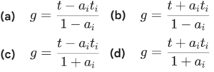
42. Which of the following correctly state the formula to compute the rate of effective protection?

Where, g = the rate of effective protection to producers of final commodities, t = the nominal tariff rate on consumers of the final commodity, tᵢ = the nominal tariff rate on the imported input and aᵢ = the ratio of the cost of the imported input to the price of the final commodity in the absence of tariffs.

Correct Answer: (a)
Solution:

The correct formula for the rate of effective protection is
effective protection rate, t is the nominal tariff on the final product, Ti is the nominal tariff on the imported input. & Ai is the ratio of the cost of the imported input to the price of the final commodity in the absence of tariffs.

43. According to neoclassical growth theory, an increase in saving rate.

Correct Answer: (a) Raises the growth rate of output in the short run.
Solution:

Raises the growth rate of output in the short run-true.
An increase in the saving rate raises investment, which temporarily increases the growth rate of output above its steady - state rate until the new steady state is reached. This is a transition effect, not permanent.

44. Which of the followings are the effects of increase in government spending in IS-LM framework in a closed economy?

A. Increase in income by multiplier times government expenditure.
B. Shift in IS curve to the right leading to disequilibrium in money market at given level of interest rate.
C. Quantity of money demand will be higher.
D. Interest rate will decrease.
E. Private investment will increase leading to increase in aggregate demand.
Choose the correct answer from the options given below:

Correct Answer: (c) A, B & C Only
Solution:
I. LM Curve shift rightII. LM Curve shift left
1.Increase in money supply1.decrease in money supply
2.Decrease in demand for money2.Increase in demand for money.

45. Match List-I with List-II

List-IList-II
A.Theory of population growth and resource limitsI.Alfred Sauvy
B.Demographic transition theoryII.John Graunt
C.Father of demographyIII.Warren Thompson
D.Coined the term "third World"IV.Thomas Malthus

Choose the correct answer from the options given below:

Correct Answer: (e) (*)
Solution:

The correct match is as follows -

List-IList-II
A.Theory of population growth and resource limits-Thomas Malthus
B.Demographic transition theory-Warren Thompson
C.Father of demography-Alfred Sauvy
D.Coined the term "third World"-John Graunt

46. Solve the following equation?

Correct Answer: (d)
Solution:

47. Which of the followings is true in case of a good i.e. "Crowded City side Walk"?

Correct Answer: (c) It is non-excludable but rivalry in nature.
Solution:

"Crowded City side Walk" is non-excludable but rivalry in nature. Excludability: For a typical city sidewalk, its generally very difficult, if not impossible, to prevent people from using it.

There are no tolls, gates or specific acces controls. So it is non-excludable.

Rivalry: If the sidewalk is crowded, then one person's use does diminish another person's ability to use it. When it's crowded, people bump into each other, have to slow down, or can't move freely.

Therefore, a crowded sidewalk is rivalrous. It if were an empty sidewalk, it would be non-rivalrous. But the key world here is "crowded".

48. By using the uniqueness property of moment generating function (M.G.F.), which of the followings are correct distribution if M.G.F. is as follows?

Correct Answer: (b) B, C & D Only
Solution:


49. Arrange the expenditure allocation to following items, as % of total union government expenditure as per the union budget 2025-26 in ascending order.

A. Finance Commission and Other Transfers.
B. Interest Payment.
C. Pensions.
D. Major Subsidies
E. Central Sector Schemes (excluding capital outlay on defence and subsidies).
Choose the correct answer from the options given below :

Correct Answer: (b) C, D, A, E, B
Solution:

Expenditure allocation to the following items, as % of total union government expenditure as per the union budget 2025-26-

No.Expenditure CategoryPercentage (%)
1.State share taxes & duties22%
2.Interest payment20%
3.Central sector schemes (excluding & capital outlay an defense & Major subsidies)16%
4.Centrally sponsored scheme8%
5.Defence8%
6.Finance Commission & other transfers8%
7.Other Expenditure8%
8.Major Subsidies8%
9.Pensions4%

50. Lexicographic preference violates which of the following axioms of utitity theory?

Correct Answer: (c) Continuity Axiom
Solution:

Lexicographic preference violates the continuity axiom of expected utility theory. This axiom states that for any two outcomes there exists a probability mixture of a better outcomes and a worse outcome such that the agent is indifferent between the mixture and the original outcome.

However, with lexicographic preferences, where one good is infinitely more preferred than another regardless of quantity, there's no probability mixture that can make an agent indifferent between a small amount of the highly preferred good and any quantity of the less preferred good.