UGC NTA NET/JRF Exam, June-2025 Economics (Shift-II)

Total Questions: 100

51. Match List-I with List-II

List-I (Renewable energy sources)List-II (% of total energy production as on Nov. 2024 as per Economic Survey 2024-25)
A. Solar energyI. 10.50%
B. Hydro energyII. 20.60%
C. Nuclear energyIII. 10.30%
D. Wind energyIV. 1.80%

Choose the correct answer from the options given below :

Correct Answer: (a) A-II, B-III, C-IV, D-I
Solution:
List-I (Renewable energy sources)List-II (% of total energy production as on Nov. 2024 as per Economic Survey 2024-25)
A. Solar energy20.6%
B. Hydro energy10.30%
C. Nuclear energy1.80%
D. Wind energy10.50%

Note: As of November 2024, according to Economic survey 2024-25, the share of renewable energy sources in India's total energy production is 46.8%.
This includes
Coal : 46.20% (The largest share)
Solar : 20.60%
Wind : 10.50%,
Hydro : 10.30%,
Gas : 5.40%
Other RES (Renewable Energy Sources): 3.50%
Nuclear : 1.80%
Lignite : 1.40%
Diesel : 0.10%

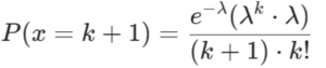
52. If x is a poisson variate with mean λ, then P(x +1) is :

Correct Answer: (a)
Solution:

A possion variate X with mean λ has a probability mass function (PMF) given by:
To find P(x + 1), we need to calculate P(x = k+1). We can do this by substituting (k+1) for k in the PMF
formula.This expression can be written by separating out λ & (k+1) from the factional.

53. Which of the following comprises the current account of the balance of payments?

A. Invisible exports and imports
B. Direct investment
C. Unilateral transfers
D. SDR allocations
E. Borrowings from foreign countries
Choose the correct answer from the options given below :

Correct Answer: (c) A & C Only
Solution:

Main components of the current Account:
1. Trade Balance (Merchandise or Visible Trade)
Exports of goods (eg. Machinery, food, oil)
Imports of goods (eg. electronics, raw materials)
Trade Balance = Exports - imports of goods

2. Invisible balance (services)
Exports of services (eg. Software, banking, tourism)
Imports of services (eg. Shipping, consulting)

3. Primary income
Investment income (dividends, interest, profit from FDI or portfolio investments).
Compensation of employees (cross- border wages salaries).

4. Secondary income (unilateral transfer)
Private transfer (remittances sent by individuals, working abroad).
official transfer (foreign acid, donations, grants).
Gifts, pensions, and other one - way transfers.

54. Which of the followings are true regarding the outcome of a consumer's optimization process.

A. The marginal utility per rupee spent on each goods is the same.
B. The marginal rate of substitution between goods is equal to the ratio of the prices between the goods.
C. The consumer reaches the highest indifference curve in the indifference map. D. The consumer indifference curve is tangent to his/her budget line.
E. From utility point of view, consumer is indifferent between any two points on his/her budget line.
Choose the correct answer from the options given below:

Correct Answer: (c) A, B & D Only
Solution:

The true statement regarding the outcome of a consumer's optimization process.
The condition where a consumer spends their income such that the marginal utility per rupee spent is the same for all goods is represented by the equation.
Where Mu, is the marginal utility of good x, Pₓ is the price of goods x, and so on for other goods. This equation ensures the consumer is maximizing their total utility given their budget constraint.
B and D - The marginal rate of substitution between goods in equal to the ratio of the prices between the goods.
Consumer's equilibrium diagrammatic presentation.
E = Pt. of equilibrium
Here,
Or slop of IC = Slope of price line

55. Match List-I with List-II

List-I (Property)List-II (Formula)
A. The mean of a Hypergeometric distribution I. q/p²
B. The moment generating function of negative binomial distributionII. (Q-Peᵗ)⁻ʳ
C. The coefficient of Kurtosis of a binomial distributionIII. nM/n
D. The variance of geometric distributionIV. 1-6pq/npq

Choose the correct answer from the options given below:

Correct Answer: (b) A-III, B-II, C-IV, D-I
Solution:
List-I (Property)List-II (Formula)
A. The mean of a Hypergeometric distributionnM/n
B. The moment generating function of negative binomial distribution(Q-Peᵗ)⁻ʳ
C. The coefficient of Kurtosis of a binomial distribution1-6pq/npq
D. The variance of geometric distributionq/p²

56. Arrange the following items on the basis of the expenditure allocation made in the union budget 2025-26 in descending order.

A. Agriculture and Allied activities
B. Education
C. Defence
D. Commerce and Industry
E. Rural Development
Choose the correct answer from the options given below:

Correct Answer: (b) C, E, A, B, D
Solution:

Budget for Ministries 2025-2026

No.SectorAllocation (₹ Cr)
1.Defence₹ 4,91,732 Cr
2.Rural Development₹ 2,66,817 Cr
3.Home Affairs₹ 2,33,211 Cr
4.Agricultural & Allied Activities₹ 1,71,737 Cr
5.Education₹ 1,28,650 Cr
6.Health₹ 98,311 Cr
7.Urban Development₹ 96,777 Cr
8.IT & Telecom₹ 95,298 Cr
9.Energy₹ 81,174 Cr
10.Commerce & Industry₹ 65,553 Cr
11.Social Welfare₹ 60,052 Cr
12.Scientific Departments₹ 55,679 Cr

C, E, A, B, D

57. The indirect least square is applied to estimate the coefficient of the :

Correct Answer: (a) Structural Equation
Solution:

The Indirect Least Squares (ILS) method estimates coefficient of structural equations in a simultaneous equation model by first expressing the structural equations as reduced from equations, applying Ordinary Least Squares (OLS) to these reduced from equations, and then using the OLSestimated coefficients to indirectly derive the original structural coefficient.

This method is specifically applied to exactly or just-identified structrual equations and is not used for over-identified methods.

58. Arrange the following sectors in descending order as per their share in total FDI in India in H1 FY 2025 as per the Economic Survey 2024- 25.

A. Automobile Industry
B. Hospital and Diagnostic Centers
C. Cement and Gypsum Products
D. Computer Sortware and Hardware
E. Non-conventional Energy
Choose the correct answer from the options given below:

Correct Answer: (a) D, E, C, A, B
Solution:

FDI inflows sector - H1 FY 2025 (AprilSeptember 2024)

No.SectionFDI Share (%)
1.Computer Software and Hardware16%
2.Non-conventional Energy9.7%
3.Cement and Gypsum Product6.6%
4.Hospital and Diagnostic Centres3.7%
5.Automobile Industry5% – 6%

59. Arrange the following tax reform committees on the basis of their year of constitution starting from the oldest.

A. Raja Chelliah tax reform committee.
B. T.R. Rastogi Committee on Service tax reforms.
C. Vijay Kelkar committee on tax reforms
D. Parthasarathi Shome committee on direct tax.
E. K.L. Rekhi committee on indirect tax
Choose the correct answer from the options given below:

Correct Answer: (a) A, E, C, B, D
Solution:

The tax reforms committees on the basis of their year of constitution starting from the oldest.
(1) Raja Chelliah tax reform committee - 1991
(2) K.L. Rekhi Committee on indirect tax - 1993
(3) Vijay Kelkar Committee on tax reforms - 2002
(4) T.R. Rastogi Committee on Service tax reforms - 2003
(5) Parthasarathi Shome Committee on direct tax - 2012

60. Which of the followings are correct in case of Normal distribution?

A. μ₃ for Normal distribtion is 0.
B. β₂ for Normal distribution is 0.
C. Mean deviation (about mean) for Normal distribution is 4/5 σ
D. μ₄ for Normal distribution is 2σ⁴
Choose the correct answer from the options given below:

Correct Answer: (a) A, C & E Only
Solution:

Correct statement in case of normal distribution.