UGC NTA NET/JRF Exam, Management, December-2021/June-2022

Total Questions: 100

21. Retailer cooperatives belong to which of the following distributions channel systems?

Correct Answer: (a) Contractual
Solution:

A retailers Cooperative is essentially a group of independently owned businesses that collaborate on joint marketing campaigns and pool their resources to make bulk, purchases, typically through the establishment of a central buying organization.
• Retailer cooperatives belong to contractual distribution channel system. Under this distribution system all members are in contractual agreement with the other members of benefits.

22. Which of the following is the correct explanation of resource based approach?

Correct Answer: (a) Internal source are more important for a firm than internal forces for competitive advantage
Solution:

According to resource -based theory, organizations with "strategic resources", have significant advantages over those that do not. Because an organization's rivals can easily acquires certain resource such as cash, capital, Land etc, but they are not considered strategic resources. Instead, a strategic resource is one that is valuable, rare, hard to duplicate and designed to capture value.
• RBV analyzes and interprets internal resources of the organization and emphasizes resources and capabilities in formulating strategy to achieve sustainable competitive advantages.
• Internal sources are more important for a firm than internal forces for competitive advantage.

23. A copier machine company provides better after sales service to its existing customer to improve its (company) and product image and increase sales if accessories and consumables. Above given statements is an example of:

Correct Answer: (b) Stability strategy aimed at customer groups
Solution:

The statement given in the question is an example of stability strategy aimed at customer groups.
• When an organization tries to maintain its current position and only focuses on incremental improvement by merely changing one or more of its business operations from the perspective of custom groups, customer functions, and technology options. So, in this situation it will adopte stability strategy.
• Here, copier machine company starts to provide after sales service to its existing customers. In this situation company is satisfied with the same consumer groups and maintaining the same market share, satisfied with incremental improvements of functional performance.
So, it is using stability strategy aimed at customer groups.

24. Concept of 'fit' is central to which of the following schools of through on strategy formulation?

Correct Answer: (a) The positioning school
Solution:

Concept of 'fit' is central to 'the positioning school' thought on strategy formulation.
• The positioning school of thought on strategy formulation is one of among the Henry Mintzberg's Ten 10 schools of strategy formulations (1998).
• The organization can develop its strategic position within the industry at the positioning school.
• This view point suggests that only a few key or generic strategies are desirable or defensible in any given organisation. The basic premise in that a strategy should not be judged by internal organisational factors, but by the way recipients of service see it relative to the competition.

25. How often and how easily customers think if the brand under various purchase of consumption situations, it known as :

Correct Answer: (a) Brand salience
Solution:

How often and how easily customers think of the brand under various purchase or consumption situations is known as 'Brand salience.'
• In simple, the degree to which a brand is included in a customer's list of considerations when making a purchase is known as brand salience. Based on a perceptions formed in the brain over time, brand salience is a psychological phenomenon that aids in a customer's purchasing decision.

26. Huge store that combine supermarket discount and warehouses retailing are called.

Correct Answer: (c) Hyper market
Solution:

Huge stores that combine supermarket discount and warehouse retailing are called,' Hyper market'.
• It offer shoppers a one-stop shopping experience.
• The idea behind this big box store is to provide consumers with all the goods they require, under one roof.
Examples of Hyper Market in India are D-mart, Big-Bazar, Reliance Fresh, Star Bazaar, Spencer's Hyper etc.

27. Central focus of which of the following models is five stage consumer decision process?

Correct Answer: (c) Engel Kollat, Blackwell Model
Solution:

The central focus of Engel-Kollat Blackwell Model is five-stage consumer decision process.
• It is a consumer behavior model of the cognitive process that helps to predict what customer are going to buy.
• The model consist of five stage consumer decision process which are Information input, Information processing, Decision process stage, Decision process variables, and External influences.

28. A salesperson who relies on creative methods for selling products and services is called:

Correct Answer: (a) Demand creator
Solution:

A salesperson who relies on creative methods for selling products and services is called, 'Demand creator.'
• Missionary is a sales people whose primary job is to develop goodwill and educate the customers about the products.
• Deliverer, as the name suggest, the job of the delivery sales person is to deliver the product.
• Solutions vendor is a sales person who are responsible for selling and promoting the product to clients, according to customer's needs.

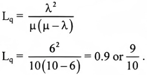
29. Customers arrive at a reception counter at an average interval rate of 10 minutes and the receptionist takes an average of 6 minutes for one customer. The average queue length is :

Correct Answer: (b) 9/10
Solution:

Arrival rate λ = 10 minute/customer = 6 customers/hour
Service rate, μ =6 minute/customer = 10 customers/hour
The average length of the queue,

30. Which of the following is not an advantage of implementing a quality system that conform to ISO standards ?

Correct Answer: (d) Inefficient decision making
Solution:

The advantages of implementing a quality system that conform to ISO standards. Are Improvement in employee involvement, Improvement in housekeeping, Improvement in customer satisfaction and efficient decision making 'Inefficient decision making is not an advantage of implementing a quality system that conform to ISO standards because organisations will be able to make the right or efficient decision after implementing a quality system.