UGC NTA NET/JRF Exam, Management, June-2020

Total Questions: 100

11. Which one of the following means a mandatory settlement of an industrial dispute by a labour court or a tribunal?

Correct Answer: (d) Adjudication
Solution:

The decision given by the court on any industrial dispute is a mandatory solution to that dispute, because the judical decision has to be followed. Collective bargaining is an agreement between the employer and labour union of work, wages and other conditions, then in the same conciliation the agreement is made after listening to both the parties,
Disputes are also resolved by a third through arbitration, but their are not mendatory terminations. Appeal can be made against them in the court.

12. Who among the following has developed the Institutional Theory of Work-life Initiative?

Correct Answer: (c) Dimaggio and Powell
Solution:

Dimmaggio and Powell developed the institutional theory of work life initative. Institutional theorists assert that the institutional environment can strongly influence the development of formal structures in an organisation, often more profoundly than market pressures.

13. As a regulatory norm in India, a listed company in ordinary course is required to report quarterly results within how many days of the end of the quarters?

Correct Answer: (a) 45
Solution:

As per the normal procedure as per Indian regulatory rules, the listed company is required to report the results with in 45 days from the end of the quarter.
Hence, option (a) is the correct answer.

14. Which of the following is excluded from the responsibility of the International Accounting Standards Board (IASB)?

Correct Answer: (b) Promulgation and adaption of Generally Accepted Accounting Principles
Solution:

Harmonization and convergence of Accounting standards, Promulgation of International Accounting standard and promulgation and gaining acceptance of International Financial Reporting standard (IFRS), International Accounting standard board have obligations. Whereas promulgation and adoption of Generally Accepted Account Principle is not responsibility of IFRB.

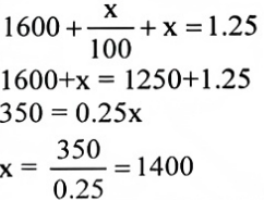
15. A firm's current asset and current liabilities are Rs. 1600 and Rs. 1000, respectively. How much can it borrow on a short-term basis without reducing the current ratio below 1.25?

Correct Answer: (c) Rs 1400
Solution:

Lets assume it can borrow x amount of funds-

16. From the information given below, find out the efficiency ratio of the firm's operations:

Budgeted production: 880 Units, Actual production: 750 Units
Standard hours per unit : 10 hours, Actual working hours: 6000 hours

Correct Answer: (a) 125%
Solution:

17. Given the interest rate on a 1-year loan is 14.5 percent and inflation is expected to be 6.5 percent in India. What should be the interest rate on a 1- year maturity loan in Thailand when the expected inflation rate is 8.5 percent?

Correct Answer: (c) 16.65 percent
Solution:

18. The linear relation between the excess return on individual securities and the overall market at every point in time is known as

Correct Answer: (c) Security Characteristic Line (SCL)
Solution:

Security characteristic line is a regression line, plotting performance of a particular security or portfolio against that of the market portfolio at every points in time.

19. What should be Economic Order Quality (ECQ) for procurement of 20000 units annually at a price of Rs. 12 per unit for consumption in production, when the cost per order is Rs. 2000 and the inventory carrying cost is 25 percent of inventory value?

Correct Answer: (b) 5164 units
Solution:

20. Which one of the following describes the relationship between the market value of a firm's securities and the replacement cost of its physical assets?

Correct Answer: (a) Tobin's q-ratio
Solution:

Tobin's q- is Ratio between a physical assets market value and its replacement value. It was first introduce by Nicholas Kaldor in 1966 in his paper.
Tobin's q =

Market value of outstanding debt and Equity/Replacement Cost of Assets