UPSC EPFO SOLVED PAPER 2015

Total Questions: 120

11. The Maternity Benefit Act, 1961 (M.B. Act) provides for how many weeks’ wages during the maternity period?

Correct Answer: (b) 12 weeks
Solution:

The provisions of Maternity (Amendment) Bill 2017, an amendment to the Maternity Benefit Act, 1961, are effective from 1st April, 2017. The Maternity Benefit Act, 1961 originally provided maternity benefit of 12 weeks, out of which up to six weeks could be claimed before delivery. In 2017, the law was amended to extend the period to 26 weeks.

12. Which of the following are the instruments of providing social security in India?

1. Income Tax
2. Employees Provident Fund
3. General Sales Tax
4. LIC
5. National Pension Scheme
6. Postal Provident Fund
Select the correct answer using the codes given below.
(a) 1, 2, 3 and 4
(b) 2, 3, 4 and 6
(c) 2, 4, 5 and 6
(d) 3, 4, 5 and 6

Correct Answer: (c) 2, 4, 5 and 6
Solution:

Social security has always been a primary focus area of various plans and policies of Government of India since independence. Initially almost all social security schemes and programs were focused on younger generations and issues related to healthcare and disability was addressed by these schemes.
The instrument of providing social security in India are-
● Employees’ Provident Fund
● LIC
● National Pension Scheme
● Postal Provident fund
All are instrument because of regular contribution of these. Income tax not
collected in regular basis.

13. A man buys apples at a certain price per dozen and sells them at 8 times that price per hundred. What percentage does he gain or lose?

Correct Answer: (c) 4% loss
Solution:

14. For which time intervals, is the percentage rise of population the same for the following data?

Correct Answer: (b) 1980 - 90 and 1990 - 2000
Solution:

15. Four quantities are such that their Arithmetic Mean (A. M.) is the same as the A. M. of the first three quantities. The fourth quantity is

Correct Answer: (b) A. M. of the first three quantities
Solution:

Given,
Arithmetic mean of four quantities =
Arithmetic mean of first three quantities = x (let)
Now, sum of first three quantities
= Mean × Total number = 3x
and sum of total four quantities = 4x
Hence, fourth quantity = 4x − 3x = x or
Arithmetic Mean of first three quantities

16. If the difference of two numbers is greater than the sum of the numbers, then

Correct Answer: (c) At least one of the numbers is negative
Solution:

If the difference of two numbers is greater than the sum of the numbers, then exactly one of the numbers is negative.
For example : Let first number = 7
and second number = − 4
So, difference = 7 − (− 4) = 7 + 4 = 11
and sum = 7 − 4 = 3
∴ Difference > Sum

17. A Palindrome is a number which reads the same from left as well as from right, for example, 23732. What is the number of Palindromes between 10 and 1010?

Correct Answer: (b) 100
Solution:

Palindrome numbers between 10 to
100
= 9 (11, 22, ……, 99)
Palindrome numbers between 101 to 200
= 10 (101, 111, ……, 191)
Palindrome numbers between 201 to 300
= 10 (202, ……, 292)
Palindrome numbers between 301 to 400
= 10 (303, …… 393)
Palindrome number between 401 to 500 = 10
(404, ………, 494)
Palindrome numbers between 501 to 600
= 10 (505, ……, 595)
Palindrome number between 601 to 700 = 10
(606, ……, 696)
Palindrome numbers between 701 to 800 =
10 (707, ……, 797)
Palindrome numbers between 801 to 900
= 10 (808, ……, 898)
Palindrome numbers between 901 to 1000
= 10 (909 …… 999)
Palindrome number between 1001 to 1010
= 1 (1001)
Hence, total palindrome numbers
= 9 + 10 + 10 + 10 + 10 + 10 + 10 + 10
+10 + 10 + 1 = 100

18. In writing all the integers from 1 to 300, how many times is the digit 1 used?

Correct Answer: (a) 160
Solution:

Total integers between 1 to 100 = 21
Total integers between 101 to 200 = 119
Total integers between 201 to 300 = 20
Hence, total integers = 21 + 119 + 20 = 160

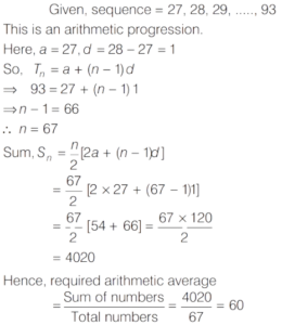
19. Consider the sequential integers 27 to 93, both included in the sequence. The arithmetic average of these numbers will be

Correct Answer: (d) 60
Solution:

20. Consider the following statements in respect of Atal Pension Yojana.

1. Beneficiary must be in the age group of 18 to 40 years.
2. Beneficiary will receive the pension only after he attains the age of 60 years.
3. After the death of a beneficiary, his spouse continues to receive the pension.
4. No nominee of the beneficiary is permitted.
Which of the statements given above are correct?

Correct Answer: (c) 1, 2 and 3
Solution:

Atal Pension Yojana (APY) is a government-backed pension scheme in India launched in 2015, primarily targeted at the unorganised sector.

The important features of Atal Pension Yojana are

• The minimum eligible age for a person joining APY is 18 years and the maximum is 40 years.
• An enrolled person would start receiving pension on attaining the age of 60 years. APY is a periodic contribution based pension plan and promises a fixed monthly pension of ₹ 1000/ ₹ 2000/ ₹ 3000/ ₹ 4000 or ₹ 5000.
• In case of death of subscriber, the spouse of the subscriber shall be entitled for the same amount of pension till his or her death. And after the demise of both spouse and subscriber, the nominee will be entitled to receive the pension money that the subscriber had accumulated till 60 years of age.