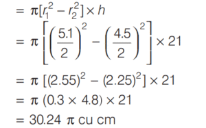
VOLUME AND SURFACE AREA (CDS)Total Questions: 106101. A cube has each edge 2 cm and a cuboid is 1 cm long, 2 cm wide and 3 cm high. The paint in a certain container is sufficient to paint an area equal to 54 cm². Which one of the following is correct? [2014 (I) Morning Shift](a) Both cube and cuboid can be painted(b) Only cube can be painted(c) Only cuboid can be painted(d) Neither cube nor cuboid can be paintedCorrect Answer: (a) Both cube and cuboid can be paintedSolution:Surface area of cube which can be painted = 6 (side) = 6(2)² = 24cm²102. For a plot of land of 100m × 80m, the length to be raised by spreading the earth from stack of a rectangular base 10 m × 8 m and vertical section being a trapezium of height 2 m. The top of the stack is 8m × 5m. How many centimetres can the level raised? [2014 (I) Morning Shift](a) 3 cm(b) 2.5 m(c) 2 cm(d) 1.5 cmCorrect Answer: (d) 1.5 cmSolution:Since, the stack is in the form having vertical cross section of trapezium.103. A drainage tile is a cylindrical shell 21 cm long. The inside and outside diameters are 4.5 cm and 5.1 cm, respectively. What is the volume of the clay required for the tile? [2014 (I) Morning Shift](a) 6.96π cm³(b) 6.76π cm³(c) 5.76π cm³(d) None of theseCorrect Answer: (d) None of theseSolution:Volume of clay required104. The diameter of the base of a cone is 6 cm and its altitude is 4 cm. What is the approximate curved surface area of the cone? [2014 (I) Morning Shift](a) 45 cm(b) 47 cm(c) 49 cm(d) 51 cmCorrect Answer: (b) 47 cmSolution:Radius of cone = 6/2 = 3105. A cylinder is surmounted by a cone at one end, a hemisphere at the other end. The common radius is 3.5 cm, the height of the cylinder is 6.5 cm and the total height of the structure is 12.8 cm. The volume V of the structure lies between [2014 (I) Morning Shift](a) 370 cm³ and 380 cm³(b) 380 cm³ and 390 cm³(c) 390 cm³ and 400 cm³(d) None of theseCorrect Answer: (a) 370 cm³ and 380 cm³Solution:Let common radius be r cm. Then, height of cylinder = h and height of cone = h′106. A swimming pool 70 m long, 44 m wide and 3 m deep is filled by water flowing from a pipe at the rate of 30800 cm³/s. The time taken to fill the swimming pool is [2014 (I) Morning Shift](a) 71/2 h(b) 80 h(c) 250/3 h(d) None of the aboveCorrect Answer: (c) 250/3 hSolution:Required time taken to fill the poolSubmit Quiz« Previous1234567891011