VOLUME AND SURFACE AREA (CDS)

Total Questions: 106

81. If the height of a right circular cone is increased by 200% and the radius of the base is reduced by 50%, then the volume of the cone [2015 (I) Morning Shift]

Correct Answer: (b) decreases by 25%
Solution:Let the radius and height of the cone be r and h, respectively. ∴ Initial volume of cone (V) = 1/3 πr²h



82. If the radius of a sphere is increased by 10%, then the volume will be increased by [2015 (I) Morning Shift]

Correct Answer: (a) 33.1%
Solution:Let the radius of sphere be r.



83. What is the maximum distance between two points of a cube of side 2 cm? [2014 (II) Evening Shift]

Correct Answer: (b) 2√3 cm
Solution:Given, side of a cube = 2 cm
∴ Maximum distance between two points of a cube = Length of diagonal
= √3 × Side = 2√3 cm

84. The areas of the three adjacent faces of a cuboidal box are x, 4x and 9x square unit. What is the volume of the box? [2014 (II) Evening Shift]

Correct Answer: (b)
Solution:Let length, breadth and height of a cuboidal box be l, b and h, respectively.

85. A cylinder circumscribes a sphere. What is the ratio of volume of the sphere to that of the cylinder? [2014 (II) Evening Shift]

Correct Answer: (a) 2 : 3
Solution:Let radius of the sphere be r. Since, cylinder circumscribes a sphere.

86. (Questions 86-87) Read the following information carefully and answer the given questions that follow. [2014 (II) Evening Shift]

A toy is in the form of a cone mounted on the hemisphere with the same radius. The diameter of the base of the conical portion is 12 cm and its height is 8 cm.

What is the total surface area of the toy?

Correct Answer: (a) 132π cm²
Solution:Given, diameter of the base of the conical portion = 12 cm


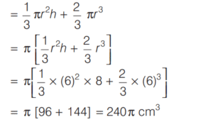
87. What is the volume of the toy? [2014 (II) Evening Shift]

Correct Answer: (b) 240π cm³
Solution:Volume of the toy = Volume of conical portion + Volume of hemisphere

88. (Questions 88-89) Read the following information carefully and answer the given questions that follow. [2014 (II) Evening Shift]

A right triangle having hypotenuse 25 cm and legs in the ratio 3 : 4 is made to revolve about its hypotenuse. (π = 3.14)

What is the volume of the double cone so formed?

Correct Answer: (c) 3768 cm³
Solution:Let ABC be a right angled triangle. Then, hypotenuse, AC = 25 cm



89. What is the surface area of the double cone so formed? [2014 (II) Evening Shift]

Correct Answer: (d) 1318.8 cm²
Solution:∵ Q Surface area of cone ABD = πrl

90. Consider the following statements [2014 (II) Evening Shift]

1. The volume of the cone generated when the triangle is made to revolve about its longer leg is same as the volume of the cone generated when the triangle is made to revolve about its shorter leg.
2. The sum of the volume of the cone generated when the triangle is made to revolve about its longer leg and the volume of the cone generated when the triangle is made to revolve about its shorter leg is equal to the volume of the double cone generated when the triangle is made to revolve about its hypotenuse.

Which of the above statement(s) is/are correct?

Correct Answer: (d) Neither 1 nor 2
Solution:Suppose we have a right angled ∆ABC, in which AB=3cm, BC=4cm and AC=5cm