WORK-TIME AND UNITARY METHOD (CDS)

Total Questions: 53

11. A work when done by 10 women is completed in 12 days. The same work can be completed in 8 days when done by 5 men. How many days will it take to complete when 6 women and 3 men are employed to perform the same job? [2018 (I) Morning Shift ]

Correct Answer: (c) 8
Solution:One day work of 1 woman

12. A man undertakes to do a certain work in 150 days. He employs 200 men. He finds that only a quarter of the work is done in 50 days. How many additional men should he employ so that the whole work is finished in time? [2018 (I) Morning Shift ]

Correct Answer: (c) 100
Solution:Given, M₁ =200, D₁ = 50, W₁ = 1/4

13. If 5 tractors can plough 5 hectare of land in 5 days, then what is the number of tractors required to plough 100 hectare in 50 days? [2018 (I) Morning Shift ]

Correct Answer: (c) 10
Solution:Here, M₁ = 5, D₁ = 5, W₁ = 5

14. A water tank has been fitted with two taps P and Q and a drain pipe R. Taps P and Q fill at the rate of 12 L/min and 10 L/min respectively. Consider the following statements S1, S 2 and S 3 [2018 (I) Morning Shift ]

S1: Pipe R drains out at the rate of 6 L/min.
S2: If both the taps and the drain pipe are opened simultaneously, then the tank is filled in 5 h 45 min.
S3: Pipe R drains out (fully) the filled tank in 15 h 20 min. To know what is the capacity of the tank.

which one of the following is correct?

Correct Answer: (c) Any two out of S1, S2 and S3 are sufficient
Solution:Two taps P and Q fill at the rate of 12 L/min and 10 L/min respectively.


15. To maintain 8 cows for 60 days, a milkman has to spend ₹6400. To maintain 5 cows for n days, he has to spend ₹4800. What is the value of n? [2017 (II) Evening Shift ]

Correct Answer: (d) 72 days
Solution:Expenditure on maintaining 1 cow for


16. 30 men can complete a job in 40 days. However, after 24 days some men out of the assigned 30 left the job. The remaining people took another 40 days to complete the job. The number of men who left the job is [2017 (II) Evening Shift ]

Correct Answer: (b) 18
Solution:Let number of men who left the job is x.

17. 4 goats or 6 sheep can graze a field in 50 days. 2 goats and 3 sheep will graze it in [2017 (II) Evening Shift ]

Correct Answer: (d) 50 days
Solution:We have,

18. A tap can fill a tub in 10 h. After opening the tap for 5 h it was found that a small outlet at the bottom of the tub was open and water was leaking through it. It was then immediately closed. It took 7 h to fill the tub after closing the outlet. What time will be taken by the outlet to empty the full tub of water? [2017 (II) Evening Shift ]

Correct Answer: (b) 25 h
Solution:Let the volume of tub is Vm³.

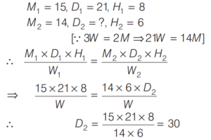
19. If 15 men take 21 days of 8 h each to do a piece of work, then what is the number of days of 6 h each that 21 women would take, if 3 women would do as much as 2 men? [2017 (I) Morning Shift ]

Correct Answer: (d) 30
Solution:We have,

20. A and B working together can finish a piece of work in 12 days while B alone can finish it in 30 days. In how many days can A alone finish the work? [2017 (I) Morning Shift ]

Correct Answer: (b) 20 days
Solution:A and B do the work in 12 days.