NTA यू. जी. सी. नेट/जेआरएफ परीक्षा,(12-12-23, Shift-II) शिक्षण एवं शोध अभियोग्यता

Total Questions: 50

31. Given are two numbers whose ratio is 7:3. If '2' is added to each of them, their ratio becomes 2:1. What is the sum of these two numbers?/प्रदत्त 2 संख्याओं का अनुपात 7:3 है। यदि प्रत्येक में 2 जोड़ा जाए तो उनका अनुपात 2:1 हो जाता है। इन संख्याओं का योग क्या होगा?

Correct Answer: (c) 20
Solution:

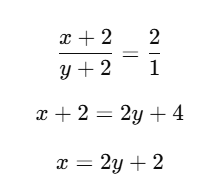
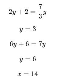
माना प्रथम संख्या x तथा दूसरी y है तो
...(i)

प्रश्नानुसार,
........(ii)

समी (i) और (ii) से,

अतः x + y = 14 + 6 = 20

32. Given below are two statements, one is labelled as Assertion (A) and other one labelled as Reason (R)./नीचे दिए गए दो कथन हैं, एक को अभिकथन (A) के रूप में लेबल किया गया है और दूसरे को कारण (R) के रूप में लेबल किया गया है।

Assertion (A): In an inductive argument the truth of the premises does not show that the conclusion must be true.
अभिकथन (A): आगमनात्मक तर्क में परिसर की सच्चाई यह नहीं दर्शाती है कि निष्कर्ष सत्य होना चाहिए।

Reason (R): If something has repeatedly happened to the past it makes it highly probable that the same thing will happen in future in the same circumstances but does not ensure it.
कारण (R): यदि अतीत में कुछ बार-बार हुआ है तो यह अत्यधिक संभावना बनाता है कि वही चीज भविष्य में उन्हीं परिस्थितियों में फिर से होगी लेकिन यह हमेशा सुनिश्चित नहीं करती है।

In light of the above statement choose the most appropriate answer from the options given below:
उपयुक्त कथनों के आलोक में निम्नलिखित विकल्पों में से सही उत्तर चुनें:

Correct Answer: (a) Both (A) and (R) are correct and (R) is the correct explanation of (A)/ (A) और (R) दोनों सही हैं और (R), (A) की सही व्याख्या है।
Solution:

आगमनात्मक तर्क में परिसरों की सच्चाई यह नहीं दर्शाती है कि निष्कर्ष सत्य होना चाहिए क्योंकि यदि अतीत में कुछ बार-बार हुआ है तो यह अत्यधिक संभावना बनाता है कि वही चीज भविष्य में उन्हीं परिस्थितियों में फिर से होगी, लेकिन यह हमेशा सुनिश्चित नहीं करती है।
अतः उपयुक्त अभिकथन (A) और कारण (R) दोनों सही हैं एवं कारण (R), (A) अभिकथन की सही व्याख्या करता है।

33. In a coding scheme, the word 'SCHOOL' is coded as '72'. How will the word 'COLLEGE' be coded in this scheme?/एक कूटलेखन योजना में 'SCHOOL' शब्द को '72' के रूप में कूटबद्ध किया जाता है। 'COLLEGE' शब्द को इस योजना में कैसे कूटबद्ध किया जाएगा?

Correct Answer: (c) 59
Solution:

दिया है,
'SCHOOL' = 72

34. Given below are two statements:/नीचे दो कथन दिए गए हैं?

Statement I: National Education Policy (2020) foresees a wide use of disruptive technology in the higher education system.
कथन-I: राष्ट्रीय शिक्षा नीति (2020) में उच्चतर शिक्षा प्रणाली में विघटनकारी प्रौद्योगिकियों के व्यापक प्रयोग का पूर्वानुमान लगाया गया है।

Statement II: The national education technology Forum is expected to prepare a roadmap for integrating the disruptive technology into the education system.
कथन-II: राष्ट्रीय शैक्षिक प्रौद्योगिकी मंच से शिक्षा प्रणाली में विघटनकारी प्रौद्योगिकियों को एकीकृत करने की रूपरेखा तैयार करने की अपेक्षा की गई है।

In light of the above statement choose the most appropriate answer from the options given below:
उपयुक्त कथनों के आलोक में निम्नलिखित विकल्पों में से सही उत्तर चुनें:

Correct Answer: (a) Both statement I and statement II are correct/कथन I और II दोनों सही हैं।
Solution:

राष्ट्रीय शिक्षा नीति (2020) में उच्चतर शिक्षा प्रणाली में विघटनकारी प्रौद्योगिकियों के व्यापक प्रयोग का पूर्वानुमान लगाया गया है तथा राष्ट्रीय शैक्षिक प्रौद्योगिकी मंच से शिक्षा प्रणाली में विघटनकारी प्रौद्योगिकियों को एकीकृत करने की रूपरेखा तैयार करने की अपेक्षा की गई है। NETF (राष्ट्रीय शैक्षिक प्रौद्योगिकी फोरम) शिक्षा संस्थानों, राज्य और केंद्र सरकारों तथा अन्य हितधारकों को नवीनतम ज्ञान और अनुसंधान के साथ-साथ अवसर प्रदान करने के लिए सूचना प्रदान करेगा। यह अधिगम और शिक्षण में सुधार के लिए रणनीति तैयार करने एवं नीतिगत प्रक्रियाओं को प्रभावी रूप से लागू करने के लिए सुझाव लेने की सुविधा प्रदान करता है।
अतः उपयुक्त कथन (I) और कथन (II) सही हैं।

35. Given below are two statements:/नीचे दो कथन दिए गए हैं:

Statement I: Composting the aerobic degradation of organic materials by microorganisms mainly under controlled conditions.
कथन-I: सूक्ष्मजीवियों द्वारा मुख्यतः नियंत्रित स्थितियों में जैविक सामग्री के वातानुकूल अवक्रमण को कंपोस्टिंग कहते हैं।

Statement II: Both macro and micro-organisms play an important role in the composting process.
कथन-II: कंपोस्टिंग प्रक्रिया में बहु एवं सूक्ष्मजीवियों, दोनों की महत्वपूर्ण भूमिका होती है।

In light of the above statement choose the most appropriate answer from the options given below:
उपयुक्त कथनों के आलोक में निम्नलिखित विकल्पों में से सही उत्तर चुनें:

Correct Answer: (a) Both statement I and statement II are correct/कथन I और II दोनों सही हैं।
Solution:

सूक्ष्मजीवियों द्वारा मुख्यतया नियंत्रित स्थितियों में जैविक सामग्री के वातापेक्षी अवक्रमण को कम्पोस्टिंग कहते हैं एवं कम्पोस्टिंग प्रक्रिया में वृहत व सूक्ष्मजीवियों दोनों की महत्वपूर्ण भूमिका होती है कथन (I) व (II) दोनों सही हैं,

36. Which of the following physical environmental factors affect the communications 'behaviour during interaction'?/निम्नलिखित में से कौन सा भौतिक पर्यावरणीय कारक वार्तालाप के दौरान संचारकों के व्यवहार को प्रभावित करता है?

(A) Smiling face/ मुस्कराता चेहरा
(B) Melodious voice/ मधुर आवाज़
(C) Temperature/ तापमान
(D) Lighting conditions/ प्रकाश की स्थिति
(E) Loud noise/ तेज़ आवाज़

Choose the correct answer from the options given below:
नीचे दिए गए विकल्पों में से सही विकल्प का चयन करें:

Correct Answer: (c) (C), (D) and (E) only/ केवल (C), (D) और (E)
Solution:

यह तीनों ही भौतिक पर्यावरणीय कारक वार्तालाप के दौरान संचारकों के व्यवहार को प्रभावित करते हैं। भौतिक संचार, संचार का एक महत्वपूर्ण क्षेत्र है जिसमें प्रकाश, तापमान और शोर जैसे बाह्य कारक शामिल होते हैं।मौखिक संकेतों को समझने और सुनने के लिए व्यक्ति को एक स्पष्ट प्रकाश की आवश्यकता होती है, शारीरिक संकेतों को देखने के लिए प्रकाश की स्थिति और इशारों के लिए शरीर के अन्य हिस्सों का उपयोग शामिल होता है।

37. The Indian communication concept is based on the centrality of ____ in human interaction./भारतीय संचार/संप्रेषण की अवधारणा मानव अन्तःक्रिया में ____ की केंद्रीयता पर आधारित है।

Correct Answer: (b) Language/ भाषा
Solution:

संचार सूचनाओं के आदान-प्रदान की प्रक्रिया है। सूचना को शब्दों, आवाज़ के लहजे, चेहरे के भाव और शारीरिक भाषा के रूप में समझा जाता है। भारतीय संचार, संप्रेषण की अवधारणा मानव अन्तःक्रिया में भाषा की केंद्रीयता पर आधारित है। संप्रेषण एक प्रक्रिया है जिसमें एक पक्ष संदेश को संप्रेषण करता है, दूसरा पक्ष उस संदेश को ग्रहण करता है।

38. The Simon commission set up a committee on education which was considered as area./साइमन आयोग (Commission) ने शिक्षा संबंधी एक समिति गठित की थी। उसे निम्न में से क्या माना जाता था?

Correct Answer: (c) Auxiliary committee/ सहायक समिति
Solution:

साइमन आयोग (Commission) ने शिक्षा संबंधी एक समिति गठित की थी, इसे प्रायः हार्टोग समिति या सहायक समिति भी माना जाता था। साइमन कमीशन का गठन भारत के तत्कालीन जनरल लॉर्ड इरविन के कार्यकाल में किया गया था। साइमन कमीशन सात सदस्यीय समिति था, जिसका गठन 8 नवम्बर 1927 में भारत में संवैधानिक सुधारों के अध्ययन के लिए किया गया था। 3 फरवरी 1928 को यह भारत आया, भारतीयों को शामिल न करने के कारण इसका व्यापक विरोध हुआ। जगह-जगह काले झंडे, प्रदर्शन और 'साइमन वापस जाओ' (Simon Go Back) के नारे लगाए गए. कांग्रेस और मुस्लिम लीग दोनों ने इसमें भाग लिया

39. Given below are two statements, one is labelled as Assertion (A) and other one labelled as Reason (R)./नीचे दो कथन दिए गए हैं: एक को अभिकथन (A) और दूसरे को तर्क (R) कहा गया है।

Assertion (A): Even when a solid waste is buried in landfills it can still provide energy.
अभिकथन (A): भू-भरण स्थलों में दबाये जाने के बाद भी ठोस अपशिष्ट ऊर्जा प्रदान कर सकता है।

Reason (R): Buried waste produces natural gas which can be captured and burned.
तर्क (R): दबाया गया अपशिष्ट प्राकृतिक गैस उत्पन्न करता है जिसे प्राप्त कर जलाया जा सकता है।

In light of the above statement choose the most appropriate answer from the options given below:
उपयुक्त कथनों के आलोक में निम्नलिखित विकल्पों में से सही उत्तर चुनें:

Correct Answer: (a) Both (A) and (R) are correct and (R) is the correct explanation of (A)/(A) और (R) दोनों सही हैं और (R), (A) की सही व्याख्या है।
Solution:

भू-भरण स्थलों में दबाए जाने के बाद भी ठोस भू-भरण स्थलों में दबाया गया ठोस अपशिष्ट ऊर्जा प्रदान कर सकता है, जिसे प्राप्त कर ईंधन के रूप में इस्तेमाल किया जा सकता है।
इस प्रकार कथन (A) और तर्क (R) दोनों सही हैं तथा (R), (A) की सही व्याख्या करता है।

40. In the given number series, determine the next term./दी गई संख्या श्रृंखला में आगामी पद होगा:

-7, -5, -1, 7, 23, ?

Correct Answer: (b) 55
Solution: